State Key Laboratory of Internet of Things for Smart City, University of Macau, State Key Laboratory of the Control and Simulation of Power Systems and Generation Equipment, Tsinghua University




Abstract:The stochastic differential equation (SDE)-based random process models of volatile renewable energy sources (RESs) jointly capture the evolving probability distribution and temporal correlation in continuous time. It has enabled recent studies to remarkably improve the performance of power system dynamic uncertainty quantification and optimization. However, considering the non-homogeneous random process nature of PV, there still remains a challenging question: how can a realistic and accurate SDE model for PV power be obtained that reflects its weather-dependent uncertainty in online operation, especially when high-resolution numerical weather prediction (NWP) is unavailable for many distributed plants? To fill this gap, this article finds that an accurate SDE model for PV power can be constructed by only using the cheap data from low-resolution public weather reports. Specifically, an hourly parameterized Jacobi diffusion process is constructed to recreate the temporal patterns of PV volatility during a day. Its parameters are mapped from the public weather report using an ensemble of extreme learning machines (ELMs) to reflect the varying weather conditions. The SDE model jointly captures intraday and intrahour volatility. Statistical examination based on real-world data collected in Macau shows the proposed approach outperforms a selection of state-of-the-art deep learning-based time-series forecast methods.




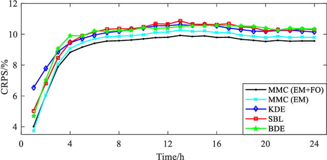
Abstract:Short-term probabilistic wind power forecasting can provide critical quantified uncertainty information of wind generation for power system operation and control. As the complicated characteristics of wind power prediction error, it would be difficult to develop a universal forecasting model dominating over other alternative models. Therefore, a novel multi-model combination (MMC) approach for short-term probabilistic wind generation forecasting is proposed in this paper to exploit the advantages of different forecasting models. The proposed approach can combine different forecasting models those provide different kinds of probability density functions to improve the probabilistic forecast accuracy. Three probabilistic forecasting models based on the sparse Bayesian learning, kernel density estimation and beta distribution fitting are used to form the combined model. The parameters of the MMC model are solved based on Bayesian framework. Numerical tests illustrate the effectiveness of the proposed MMC approach.