



Abstract:Microaneurysms (MAs) are one of the earliest signs of diabetic retinopathy (DR), a frequent complication of diabetes that can lead to visual impairment and blindness. Adaptive optics scanning laser ophthalmoscopy (AOSLO) provides real-time retinal images with resolution down to 2 $\mu m$ and thus allows detection of the morphologies of individual MAs, a potential marker that might dictate MA pathology and affect the progression of DR. In contrast to the numerous automatic models developed for assessing the number of MAs on fundus photographs, currently there is no high throughput image protocol available for automatic analysis of AOSLO photographs. To address this urgency, we introduce AOSLO-net, a deep neural network framework with customized training policies to automatically segment MAs from AOSLO images. We evaluate the performance of AOSLO-net using 87 DR AOSLO images and our results demonstrate that the proposed model outperforms the state-of-the-art segmentation model both in accuracy and cost and enables correct MA morphological classification.




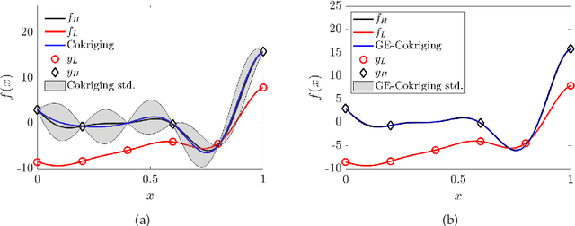
Abstract:We propose a data fusion method based on multi-fidelity Gaussian process regression (GPR) framework. This method combines available data of the quantity of interest (QoI) and its gradients with different fidelity levels, namely, it is a Gradient-enhanced Cokriging method (GE-Cokriging). It provides the approximations of both the QoI and its gradients simultaneously with uncertainty estimates. We compare this method with the conventional multi-fidelity Cokriging method that does not use gradients information, and the result suggests that GE-Cokriging has a better performance in predicting both QoI and its gradients. Moreover, GE-Cokriging even shows better generalization result in some cases where Cokriging performs poorly due to the singularity of the covariance matrix. We demonstrate the application of GE-Cokriging in several practical cases including reconstructing the trajectories and velocity of an underdamped oscillator with respect to time simultaneously, and investigating the sensitivity of power factor of a load bus with respect to varying power inputs of a generator bus in a large scale power system. We also show that though GE-Cokriging method requires a little bit higher computational cost than Cokriging method, the result of accuracy comparison shows that this cost is usually worth it.