



Abstract:In tunnel boring machine (TBM) underground projects, an accurate description of the rock-soil types distributed in the tunnel can decrease the construction risk ({\it e.g.} surface settlement and landslide) and improve the efficiency of construction. In this paper, we propose an active learning framework, called AL-iGAN, for tunnel geological reconstruction based on TBM operational data. This framework contains two main parts: one is the usage of active learning techniques for recommending new drilling locations to label the TBM operational data and then to form new training samples; and the other is an incremental generative adversarial network for geological reconstruction (iGAN-GR), whose weights can be incrementally updated to improve the reconstruction performance by using the new samples. The numerical experiment validate the effectiveness of the proposed framework as well.




Abstract:Because of the fast advance rate and the improved personnel safety, tunnel boring machines (TBMs) have been widely used in a variety of tunnel construction projects. The dynamic modeling of TBM load parameters (including torque, advance rate and thrust) plays an essential part in the design, safe operation and fault prognostics of this complex engineering system. In this paper, based on in-situ TBM operational data, we use the machine-learning (ML) methods to build the real-time forecast models for TBM load parameters, which can instantaneously provide the future values of the TBM load parameters as long as the current data are collected. To decrease the model complexity and improve the generalization, we also apply the least absolute shrinkage and selection (Lasso) method to extract the essential features of the forecast task. The experimental results show that the forecast models based on deep-learning methods, {\it e.g.}, recurrent neural network and its variants, outperform the ones based on the shallow-learning methods, {\it e.g.}, support vector regression and random forest. Moreover, the Lasso-based feature extraction significantly improves the performance of the resultant models.




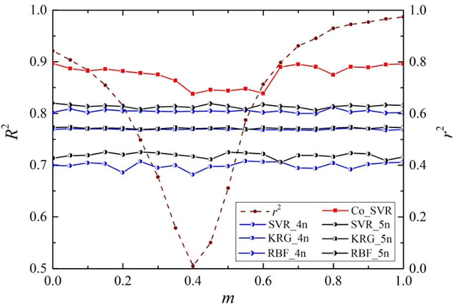
Abstract:Computational simulations with different fidelity have been widely used in engineering design. A high-fidelity (HF) model is generally more accurate but also more time-consuming than an low-fidelity (LF) model. To take advantages of both HF and LF models, multi-fidelity surrogate models that aim to integrate information from both HF and LF models have gained increasing popularity. In this paper, a multi-fidelity surrogate model based on support vector regression named as Co_SVR is developed by combining HF and LF models. In Co_SVR, a kernel function is used to map the map the difference between the HF and LF models. Besides, a heuristic algorithm is used to obtain the optimal parameters of Co_SVR. The proposed Co_SVR is compared with two popular multi-fidelity surrogate models Co_Kriging model, Co_RBF model, and their single-fidelity surrogates through several numerical cases and a pressure vessel design problem. The results show that Co_SVR provides competitive prediction accuracy for numerical cases, and presents a better performance compared with the Co_Kriging and Co_RBF models and single-fidelity surrogate models.




Abstract:Support vector regression (SVR) has been widely used to reduce the high computational cost of computer simulation. SVR assumes the input parameters have equal sample sizes, but unequal sample sizes are often encountered in engineering practices. To solve this issue, a new prediction approach based on SVR, namely as high-low-level SVR approach (HL-SVR) is proposed for data modeling of input parameters of unequal sample sizes in this paper. The proposed approach is consisted of low-level SVR models for the input parameters of larger sample sizes and high-level SVR model for the input parameters of smaller sample sizes. For each training point of the input parameters of smaller sample sizes, one low-level SVR model is built based on its corresponding input parameters of larger sample sizes and their responses of interest. The high-level SVR model is built based on the obtained responses from the low-level SVR models and the input parameters of smaller sample sizes. Several numerical examples are used to validate the performance of HL-SVR. The experimental results indicate that HL-SVR can produce more accurate prediction results than conventional SVR. The proposed approach is applied on the stress analysis of dental implant, which the structural parameters have massive samples but the material of implant can only be selected from several Ti and its alloys. The prediction performance of the proposed approach is much better than the conventional SVR. The proposed approach can be used for the design, optimization and analysis of engineering systems with input parameters of unequal sample sizes.




Abstract:Tunnel boring machine (TBM) is a complex engineering system widely used for tunnel construction. In view of the complicated construction environments, it is necessary to predict geology conditions prior to excavation. In recent years, massive operation data of TBM has been recorded, and mining these data can provide important references and useful information for designers and operators of TBM. In this work, a geology prediction approach is proposed based on deep neural network and operation data. It can provide relatively accurate geology prediction results ahead of the tunnel face compared with the other prediction models based on statistical learning methods. The application case study on a tunnel in China shows that the proposed approach can accurately estimate the geological conditions prior to excavation, especially for the short range ahead of training data. This work can be regarded as a good complement to the geophysical prospecting approach during the construction of tunnels, and also highlights the applicability and potential of deep neural networks for other data mining tasks of TBMs.