



Abstract:Large Language Models (LLMs) have demonstrated remarkable capabilities in natural language understanding and generation. However, they often struggle with complex reasoning tasks and are prone to hallucination. Recent research has shown promising results in leveraging knowledge graphs (KGs) to enhance LLM performance. KGs provide a structured representation of entities and their relationships, offering a rich source of information that can enhance the reasoning capabilities of LLMs. For this work, we have developed different techniques that tightly integrate KG structures and semantics into LLM representations. Our results show that we are able to significantly improve the performance of LLMs in complex reasoning scenarios, and ground the reasoning process with KGs. We are the first to represent KGs with programming language and fine-tune pretrained LLMs with KGs. This integration facilitates more accurate and interpretable reasoning processes, paving the way for more advanced reasoning capabilities of LLMs.




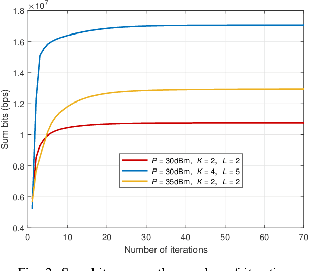
Abstract:In this paper, we investigate an intelligent reflecting surface (IRS) assisted full-duplex (FD) integrated sensing, communication and computing system. Specifically, an FD base station (BS) provides service for uplink and downlink transmission, and a local cache is connected to the BS through a backhaul link to store data. Meanwhile, active sensing elements are deployed on the IRS to receive target echo signals. On this basis, in order to evaluate the overall performance of the system under consideration, we propose a system utility maximization problem while ensuring the sensing quality, expressed as the difference between the sum of communication throughput, total computation bits (offloading bits and local computation bits) and the total backhaul cost for content delivery. This makes the problem difficult to solve due to the highly non-convex coupling of the optimization variables. To effectively solve this problem, we first design the most effective caching strategy. Then, we develop an algorithm based on weighted minimum mean square error, alternative direction method of multipliers, majorization-minimization framework, semi-definite relaxation techniques, and several complex transformations to jointly solve the optimization variables. Finally, simulation results are provided to verify the utility performance of the proposed algorithm and demonstrate the advantages of the proposed scheme compared with the baseline scheme.
Abstract:The accurate segmentation of Coronary Computed Tomography Angiography (CCTA) images holds substantial clinical value for the early detection and treatment of Coronary Heart Disease (CHD). The Transformer, utilizing a self-attention mechanism, has demonstrated commendable performance in the realm of medical image processing. However, challenges persist in coronary segmentation tasks due to (1) the damage to target local structures caused by fixed-size image patch embedding, and (2) the critical role of both global and local features in medical image segmentation tasks.To address these challenges, we propose a deep learning framework, TransCC, that effectively amalgamates the Transformer and convolutional neural networks for CCTA segmentation. Firstly, we introduce a Feature Interaction Extraction (FIE) module designed to capture the characteristics of image patches, thereby circumventing the loss of semantic information inherent in the original method. Secondly, we devise a Multilayer Enhanced Perceptron (MEP) to augment attention to local information within spatial dimensions, serving as a complement to the self-attention mechanism. Experimental results indicate that TransCC outperforms existing methods in segmentation performance, boasting an average Dice coefficient of 0.730 and an average Intersection over Union (IoU) of 0.582. These results underscore the effectiveness of TransCC in CCTA image segmentation.