Abstract:This paper explores the area of news recommendation, a key component of online information sharing. Initially, we provide a clear introduction to news recommendation, defining the core problem and summarizing current methods and notable recent algorithms. We then present our work on implementing the NRAM (News Recommendation with Attention Mechanism), an attention-based approach for news recommendation, and assess its effectiveness. Our evaluation shows that NRAM has the potential to significantly improve how news content is personalized for users on digital news platforms.




Abstract:Radio Map Prediction (RMP), aiming at estimating coverage of radio wave, has been widely recognized as an enabling technology for improving radio spectrum efficiency. However, fast and reliable radio map prediction can be very challenging due to the complicated interaction between radio waves and the environment. In this paper, a novel Transformer based deep learning model termed as RadioNet is proposed for radio map prediction in urban scenarios. In addition, a novel Grid Embedding technique is proposed to substitute the original Position Embedding in Transformer to better anchor the relative position of the radiation source, destination and environment. The effectiveness of proposed method is verified on an urban radio wave propagation dataset. Compared with the SOTA model on RMP task, RadioNet reduces the validation loss by 27.3\%, improves the prediction reliability from 90.9\% to 98.9\%. The prediction speed is increased by 4 orders of magnitude, when compared with ray-tracing based method. We believe that the proposed method will be beneficial to high-efficiency wireless communication, real-time radio visualization, and even high-speed image rendering.




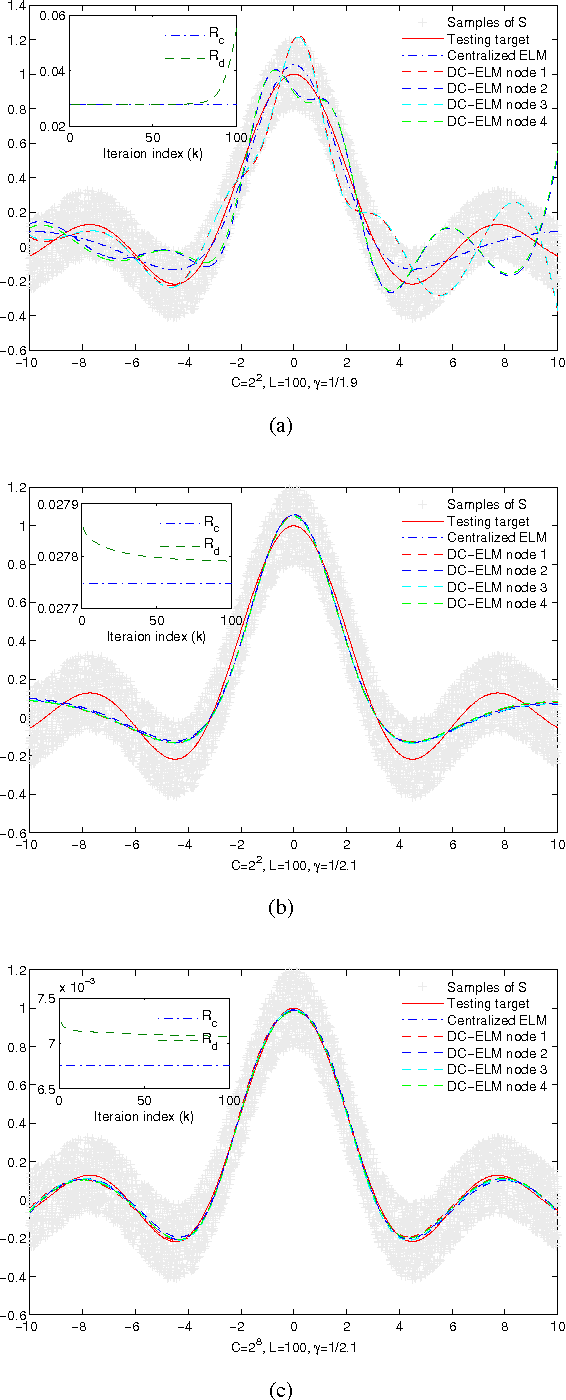
Abstract:This paper investigates distributed cooperative learning algorithms for data processing in a network setting. Specifically, the extreme learning machine (ELM) is introduced to train a set of data distributed across several components, and each component runs a program on a subset of the entire data. In this scheme, there is no requirement for a fusion center in the network due to e.g., practical limitations, security, or privacy reasons. We first reformulate the centralized ELM training problem into a separable form among nodes with consensus constraints. Then, we solve the equivalent problem using distributed optimization tools. A new distributed cooperative learning algorithm based on ELM, called DC-ELM, is proposed. The architecture of this algorithm differs from that of some existing parallel/distributed ELMs based on MapReduce or cloud computing. We also present an online version of the proposed algorithm that can learn data sequentially in a one-by-one or chunk-by-chunk mode. The novel algorithm is well suited for potential applications such as artificial intelligence, computational biology, finance, wireless sensor networks, and so on, involving datasets that are often extremely large, high-dimensional and located on distributed data sources. We show simulation results on both synthetic and real-world data sets.