



Abstract:This study leverages the data representation capability of fuzzy based membership-mappings for practical secure distributed deep learning using fully homomorphic encryption. The impracticality issue of secure machine (deep) learning with fully homomorphic encrypted data, arising from large computational overhead, is addressed via applying fuzzy attributes. Fuzzy attributes are induced by globally convergent and robust variational membership-mappings based local deep models. Fuzzy attributes combine the local deep models in a robust and flexible manner such that the global model can be evaluated homomorphically in an efficient manner using a boolean circuit composed of bootstrapped binary gates. The proposed method, while preserving privacy in a distributed learning scenario, remains accurate, practical, and scalable. The method is evaluated through numerous experiments including demonstrations through MNIST dataset and Freiburg Groceries Dataset. Further, a biomedical application related to mental stress detection on individuals is considered.




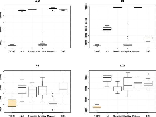
Abstract:In this paper, we propose an effective THresholding method based on ORder Statistic, called THORS, to convert an arbitrary scoring-type classifier, which can induce a continuous cumulative distribution function of the score, into a cost-sensitive one. The procedure, uses order statistic to find an optimal threshold for classification, requiring almost no knowledge of classifiers itself. Unlike common data-driven methods, we analytically show that THORS has theoretical guaranteed performance, theoretical bounds for the costs and lower time complexity. Coupled with empirical results on several real-world data sets, we argue that THORS is the preferred cost-sensitive technique.