Abstract:The user-centric cell-free network has emerged as an appealing technology to improve the next-generation wireless network's capacity thanks to its ability to eliminate inter-cell interference effectively. However, the cell-free network inevitably brings in higher hardware cost and backhaul overhead as a larger number of base stations (BSs) are deployed. Additionally, severe channel fading in high-frequency bands constitutes another crucial issue that limits the practical application of the cell-free network. In order to address the above challenges, we amalgamate the cell-free system with another emerging technology, namely reconfigurable intelligent surface (RIS), which can provide high spectrum and energy efficiency with low hardware cost by reshaping the wireless propagation environment intelligently. To this end, we formulate a weighted sum-rate (WSR) maximization problem for RIS-assisted cell-free systems by jointly optimizing the BS precoding matrix and the RIS reflection coefficient vector. Subsequently, we transform the complicated WSR problem to a tractable optimization problem and propose a distributed cooperative alternating direction method of multipliers (ADMM) to fully utilize parallel computing resources. Inspired by the model-based algorithm unrolling concept, we unroll our solver to a learning-based deep distributed ADMM (D-ADMM) network framework. To improve the efficiency of the D-ADMM in distributed BSs, we develop a monodirectional information exchange strategy with a small signaling overhead. In addition to benefiting from domain knowledge, D-ADMM adaptively learns hyper-parameters and non-convex solvers of the intractable RIS design problem through data-driven end-to-end training.




Abstract:Reconfigurable intelligent surface (RIS) has recently emerged as a promising technology enabling next-generation wireless networks. In this paper, we develop an improved index modulation (IM) scheme by utilizing RIS to convey information. Specifically, we study an RIS-aided multiple-input single-output (MISO) system, in which the information bits are conveyed by reflection patterns of RIS rather than the conventional amplitude-phase constellation. Furthermore, the K-means algorithm is employed to optimize the reflection constellation to improve the error performance. Also, we propose a generalized Gray coding method for mapping information bits to an appropriate reflection constellation and analytically evaluate the error performance of the proposed scheme by deriving a closed-form expression of the average bit error rate (BER). Finally, numerical results verify the accuracy of our theoretical analysis as well as the substantially improved BER performance of the proposed RIS-based IM scheme.




Abstract:Reconfigurable intelligent surface (RIS) has recently gained popularity as a promising solution for improving the signal transmission quality of wireless communications with less hardware cost and energy consumption. This letter offers a novel deep reinforcement learning (DRL) algorithm based on a location-aware imitation environment for the joint beamforming design in an RIS-aided mmWave multiple-input multiple-output system. Specifically, we design a neural network to imitate the transmission environment based on the geometric relationship between the user's location and the mmWave channel. Following this, a novel DRL-based method is developed that interacts with the imitation environment using the easily available location information. Finally, simulation results demonstrate that the proposed DRL-based algorithm provides more robust performance without excessive interaction overhead compared to the existing DRL-based approaches.




Abstract:Reconfigurable intelligent surface (RIS) has become a promising technology to improve wireless communication in recent years. It steers the incident signals to create a favorable propagation environment by controlling the reconfigurable passive elements with less hardware cost and lower power consumption. In this paper, we consider a RIS-aided multiuser multiple-input single-output downlink communication system. We aim to maximize the weighted sum-rate of all users by joint optimizing the active beamforming at the access point and the passive beamforming vector of the RIS elements. Unlike most existing works, we consider the more practical situation with the discrete phase shifts and imperfect channel state information (CSI). Specifically, for the situation that the discrete phase shifts and perfect CSI are considered, we first develop a deep quantization neural network (DQNN) to simultaneously design the active and passive beamforming while most reported works design them alternatively. Then, we propose an improved structure (I-DQNN) based on DQNN to simplify the parameters decision process when the control bits of each RIS element are greater than 1 bit. Finally, we extend the two proposed DQNN-based algorithms to the case that the discrete phase shifts and imperfect CSI are considered simultaneously. Our simulation results show that the two DQNN-based algorithms have better performance than traditional algorithms in the perfect CSI case, and are also more robust in the imperfect CSI case.




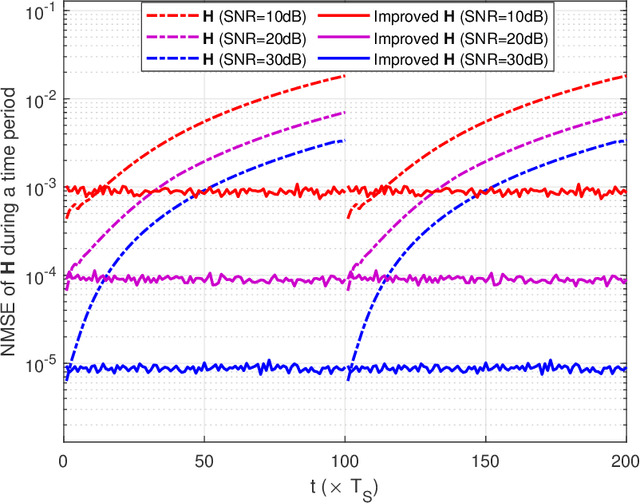
Abstract:To mitigate the effects of shadow fading and obstacle blocking, reconfigurable intelligent surface (RIS) has become a promising technology to improve the signal transmission quality of wireless communications by controlling the reconfigurable passive elements with less hardware cost and lower power consumption. However, accurate, low-latency and low-pilot-overhead channel state information (CSI) acquisition remains a considerable challenge in RIS-assisted systems due to the large number of RIS passive elements. In this paper, we propose a three-stage joint channel decomposition and prediction framework to require CSI. The proposed framework exploits the two-timescale property that the base station (BS)-RIS channel is quasi-static and the RIS-user equipment (UE) channel is fast time-varying. Specifically, in the first stage, we use the full-duplex technique to estimate the channel between a BS's specific antenna and the RIS, addressing the critical scaling ambiguity problem in the channel decomposition. We then design a novel deep neural network, namely, the sparse-connected long short-term memory (SCLSTM), and propose a SCLSTM-based algorithm in the second and third stages, respectively. The algorithm can simultaneously decompose the BS-RIS channel and RIS-UE channel from the cascaded channel and capture the temporal relationship of the RIS-UE channel for prediction. Simulation results show that our proposed framework has lower pilot overhead than the traditional channel estimation algorithms, and the proposed SCLSTM-based algorithm can also achieve more accurate CSI acquisition robustly and effectively.