Abstract:Computing partial differential equation (PDE) operators via nested backpropagation is expensive, yet popular, and severely restricts their utility for scientific machine learning. Recent advances, like the forward Laplacian and randomizing Taylor mode automatic differentiation (AD), propose forward schemes to address this. We introduce an optimization technique for Taylor mode that 'collapses' derivatives by rewriting the computational graph, and demonstrate how to apply it to general linear PDE operators, and randomized Taylor mode. The modifications simply require propagating a sum up the computational graph, which could -- or should -- be done by a machine learning compiler, without exposing complexity to users. We implement our collapsing procedure and evaluate it on popular PDE operators, confirming it accelerates Taylor mode and outperforms nested backpropagation.




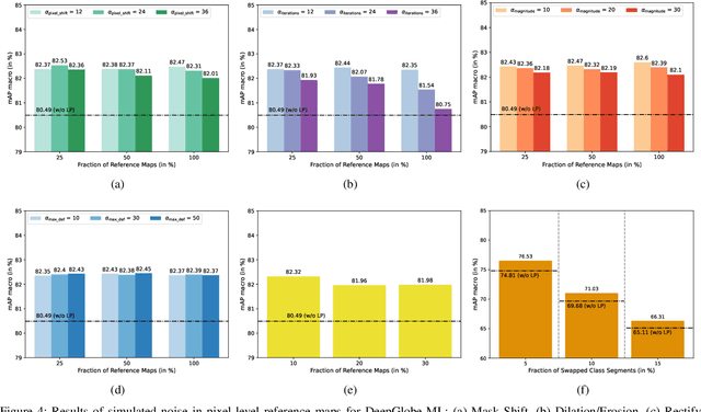
Abstract:The development of supervised deep learning-based methods for multi-label scene classification (MLC) is one of the prominent research directions in remote sensing (RS). Yet, collecting annotations for large RS image archives is time-consuming and costly. To address this issue, several data augmentation methods have been introduced in RS. Among others, the data augmentation technique CutMix, which combines parts of two existing training images to generate an augmented image, stands out as a particularly effective approach. However, the direct application of CutMix in RS MLC can lead to the erasure or addition of class labels (i.e., label noise) in the augmented (i.e., combined) training image. To address this problem, we introduce a label propagation (LP) strategy that allows the effective application of CutMix in the context of MLC problems in RS without being affected by label noise. To this end, our proposed LP strategy exploits pixel-level class positional information to update the multi-label of the augmented training image. We propose to access such class positional information from reference maps associated to each training image (e.g., thematic products) or from class explanation masks provided by an explanation method if no reference maps are available. Similarly to pairing two training images, our LP strategy carries out a pairing operation on the associated pixel-level class positional information to derive the updated multi-label for the augmented image. Experimental results show the effectiveness of our LP strategy in general and its robustness in the case of various simulated and real scenarios with noisy class positional information in particular.




Abstract:With the new generation of satellite technologies, the archives of remote sensing (RS) images are growing very fast. To make the intrinsic information of each RS image easily accessible, visual question answering (VQA) has been introduced in RS. VQA allows a user to formulate a free-form question concerning the content of RS images to extract generic information. It has been shown that the fusion of the input modalities (i.e., image and text) is crucial for the performance of VQA systems. Most of the current fusion approaches use modality-specific representations in their fusion modules instead of joint representation learning. However, to discover the underlying relation between both the image and question modality, the model is required to learn the joint representation instead of simply combining (e.g., concatenating, adding, or multiplying) the modality-specific representations. We propose a multi-modal transformer-based architecture to overcome this issue. Our proposed architecture consists of three main modules: i) the feature extraction module for extracting the modality-specific features; ii) the fusion module, which leverages a user-defined number of multi-modal transformer layers of the VisualBERT model (VB); and iii) the classification module to obtain the answer. Experimental results obtained on the RSVQAxBEN and RSVQA-LR datasets (which are made up of RGB bands of Sentinel-2 images) demonstrate the effectiveness of VBFusion for VQA tasks in RS. To analyze the importance of using other spectral bands for the description of the complex content of RS images in the framework of VQA, we extend the RSVQAxBEN dataset to include all the spectral bands of Sentinel-2 images with 10m and 20m spatial resolution.