EXPRESSION




Abstract:We propose a new loss function that we call Laplacian loss, based on spatio-temporal Laplacian representation of the motion as a graph. This loss function is intended to be used in training models for motion reconstruction through 3D human pose estimation from videos. It compares the differential coordinates of the joints obtained from the graph representation of the ground truth against the one of the estimation. We design a fully convolutional temporal network for motion reconstruction to achieve better temporal consistency of estimation. We use this generic model to study the impact of our proposed loss function on the benchmarks provided by Human3.6M. We also make use of various motion descriptors such as velocity, acceleration to make a thorough evaluation of the temporal consistency while comparing the results to some of the state-of-the-art solutions.




Abstract:In the scope of gestural action recognition, the size of the feature vector representing movements is in general quite large especially when full body movements are considered. Furthermore, this feature vector evolves during the movement performance so that a complete movement is fully represented by a matrix M of size DxT , whose element M i, j represents the value of feature i at timestamps j. Many studies have addressed dimensionality reduction considering only the size of the feature vector lying in R D to reduce both the variability of gestural sequences expressed in the reduced space, and the computational complexity of their processing. In return, very few of these methods have explicitly addressed the dimensionality reduction along the time axis. Yet this is a major issue when considering the use of elastic distances which are characterized by a quadratic complexity along the time axis. We present in this paper an evaluation of straightforward approaches aiming at reducing the dimensionality of the matrix M for each movement, leading to consider both the dimensionality reduction of the feature vector as well as its reduction along the time axis. The dimensionality reduction of the feature vector is achieved by selecting remarkable joints in the skeleton performing the movement, basically the extremities of the articulatory chains composing the skeleton. The temporal dimen-sionality reduction is achieved using either a regular or adaptive down-sampling that seeks to minimize the reconstruction error of the movements. Elastic and Euclidean kernels are then compared through support vector machine learning. Two data sets 1 that are widely referenced in the domain of human gesture recognition, and quite distinctive in terms of quality of motion capture, are used for the experimental assessment of the proposed approaches. On these data sets we experimentally show that it is feasible, and possibly desirable, to significantly reduce simultaneously the size of the feature vector and the number of skeleton frames to represent body movements while maintaining a very good recognition rate. The method proves to give satisfactory results at a level currently reached by state-of-the-art methods on these data sets. We experimentally show that the computational complexity reduction that is obtained makes this approach eligible for real-time applications.




Abstract:In the field of gestural action recognition, many studies have focused on dimensionality reduction along the spatial axis, to reduce both the variability of gestural sequences expressed in the reduced space, and the computational complexity of their processing. It is noticeable that very few of these methods have explicitly addressed the dimensionality reduction along the time axis. This is however a major issue with regard to the use of elastic distances characterized by a quadratic complexity. To partially fill this apparent gap, we present in this paper an approach based on temporal down-sampling associated to elastic kernel machine learning. We experimentally show, on two data sets that are widely referenced in the domain of human gesture recognition, and very different in terms of quality of motion capture, that it is possible to significantly reduce the number of skeleton frames while maintaining a good recognition rate. The method proves to give satisfactory results at a level currently reached by state-of-the-art methods on these data sets. The computational complexity reduction makes this approach eligible for real-time applications.




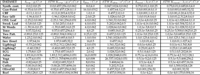
Abstract:This paper proposes some extensions to the work on kernels dedicated to string or time series global alignment based on the aggregation of scores obtained by local alignments. The extensions we propose allow to construct, from classical recursive definition of elastic distances, recursive edit distance (or time-warp) kernels that are positive definite if some sufficient conditions are satisfied. The sufficient conditions we end-up with are original and weaker than those proposed in earlier works, although a recursive regularizing term is required to get the proof of the positive definiteness as a direct consequence of the Haussler's convolution theorem. The classification experiment we conducted on three classical time warp distances (two of which being metrics), using Support Vector Machine classifier, leads to conclude that, when the pairwise distance matrix obtained from the training data is \textit{far} from definiteness, the positive definite recursive elastic kernels outperform in general the distance substituting kernels for the classical elastic distances we have tested.




Abstract:Researches on signed languages still strongly dissociate lin- guistic issues related on phonological and phonetic aspects, and gesture studies for recognition and synthesis purposes. This paper focuses on the imbrication of motion and meaning for the analysis, synthesis and evaluation of sign language gestures. We discuss the relevance and interest of a motor theory of perception in sign language communication. According to this theory, we consider that linguistic knowledge is mapped on sensory-motor processes, and propose a methodology based on the principle of a synthesis-by-analysis approach, guided by an evaluation process that aims to validate some hypothesis and concepts of this theory. Examples from existing studies illustrate the di erent concepts and provide avenues for future work.