



Abstract:Ensemble learning is a powerful approach to construct a strong learner from multiple base learners. The most popular way to aggregate an ensemble of classifiers is majority voting, which assigns a sample to the class that most base classifiers vote for. However, improved performance can be obtained by assigning weights to the base classifiers according to their accuracy. This paper proposes an agreement rate initialized maximum likelihood estimator (ARIMLE) to optimally fuse the base classifiers. ARIMLE first uses a simplified agreement rate method to estimate the classification accuracy of each base classifier from the unlabeled samples, then employs the accuracies to initialize a maximum likelihood estimator (MLE), and finally uses the expectation-maximization algorithm to refine the MLE. Extensive experiments on visually evoked potential classification in a brain-computer interface application show that ARIMLE outperforms majority voting, and also achieves better or comparable performance with several other state-of-the-art classifier combination approaches.




Abstract:There are many important regression problems in real-world brain-computer interface (BCI) applications, e.g., driver drowsiness estimation from EEG signals. This paper considers offline analysis: given a pool of unlabeled EEG epochs recorded during driving, how do we optimally select a small number of them to label so that an accurate regression model can be built from them to label the rest? Active learning is a promising solution to this problem, but interestingly, to our best knowledge, it has not been used for regression problems in BCI so far. This paper proposes a novel enhanced batch-mode active learning (EBMAL) approach for regression, which improves upon a baseline active learning algorithm by increasing the reliability, representativeness and diversity of the selected samples to achieve better regression performance. We validate its effectiveness using driver drowsiness estimation from EEG signals. However, EBMAL is a general approach that can also be applied to many other offline regression problems beyond BCI.




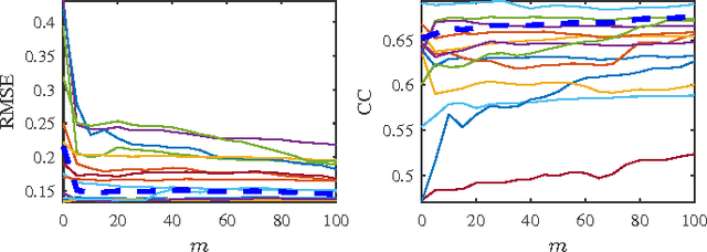
Abstract:Riemannian geometry has been successfully used in many brain-computer interface (BCI) classification problems and demonstrated superior performance. In this paper, for the first time, it is applied to BCI regression problems, an important category of BCI applications. More specifically, we propose a new feature extraction approach for Electroencephalogram (EEG) based BCI regression problems: a spatial filter is first used to increase the signal quality of the EEG trials and also to reduce the dimensionality of the covariance matrices, and then Riemannian tangent space features are extracted. We validate the performance of the proposed approach in reaction time estimation from EEG signals measured in a large-scale sustained-attention psychomotor vigilance task, and show that compared with the traditional powerband features, the tangent space features can reduce the root mean square estimation error by 4.30-8.30%, and increase the estimation correlation coefficient by 6.59-11.13%.




Abstract:One big challenge that hinders the transition of brain-computer interfaces (BCIs) from laboratory settings to real-life applications is the availability of high-performance and robust learning algorithms that can effectively handle individual differences, i.e., algorithms that can be applied to a new subject with zero or very little subject-specific calibration data. Transfer learning and domain adaptation have been extensively used for this purpose. However, most previous works focused on classification problems. This paper considers an important regression problem in BCI, namely, online driver drowsiness estimation from EEG signals. By integrating fuzzy sets with domain adaptation, we propose a novel online weighted adaptation regularization for regression (OwARR) algorithm to reduce the amount of subject-specific calibration data, and also a source domain selection (SDS) approach to save about half of the computational cost of OwARR. Using a simulated driving dataset with 15 subjects, we show that OwARR and OwARR-SDS can achieve significantly smaller estimation errors than several other approaches. We also provide comprehensive analyses on the robustness of OwARR and OwARR-SDS.