



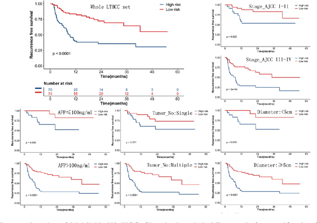
Abstract:This study aimed to develop a classifier of prognosis after resection or liver transplantation (LT) for HCC by directly analysing the ubiquitously available histological images using deep learning based neural networks. Nucleus map set was used to train U-net to capture the nuclear architectural information. Train set included the patients with HCC treated by resection and has a distinct outcome. LT set contained patients with HCC treated by LT. Train set and its nuclear architectural information extracted by U-net were used to train MobileNet V2 based classifier (MobileNetV2_HCC_Class), purpose-built for classifying supersized heterogeneous images. The MobileNetV2_HCC_Class maintained relative higher discriminatory power than the other factors after HCC resection or LT in the independent validation set. Pathological review showed that the tumoral areas most predictive of recurrence were characterized by presence of stroma, high degree of cytological atypia, nuclear hyperchomasia, and a lack of immune infiltration. A clinically useful prognostic classifier was developed using deep learning allied to histological slides. The classifier has been extensively evaluated in independent patient populations with different treatment, and gives consistent excellent results across the classical clinical, biological and pathological features. The classifier assists in refining the prognostic prediction of HCC patients and identifying patients who would benefit from more intensive management.