Abstract:This paper presents a novel approach to improve the Model Predictive Path Integral (MPPI) control by using a transformer to initialize the mean control sequence. Traditional MPPI methods often struggle with sample efficiency and computational costs due to suboptimal initial rollouts. We propose TransformerMPPI, which uses a transformer trained on historical control data to generate informed initial mean control sequences. TransformerMPPI combines the strengths of the attention mechanism in transformers and sampling-based control, leading to improved computational performance and sample efficiency. The ability of the transformer to capture long-horizon patterns in optimal control sequences allows TransformerMPPI to start from a more informed control sequence, reducing the number of samples required, and accelerating convergence to optimal control sequence. We evaluate our method on various control tasks, including avoidance of collisions in a 2D environment and autonomous racing in the presence of static and dynamic obstacles. Numerical simulations demonstrate that TransformerMPPI consistently outperforms traditional MPPI algorithms in terms of overall average cost, sample efficiency, and computational speed in the presence of static and dynamic obstacles.
Abstract:The stringent regulatory requirements on nitrogen oxides (NOx) emissions from diesel compression ignition engines require accurate and reliable models for real-time monitoring and diagnostics. Although traditional methods such as physical sensors and virtual engine control module (ECM) sensors provide essential data, they are only used for estimation. Ubiquitous literature primarily focuses on deterministic models with little emphasis on capturing the uncertainties due to sensors. The lack of probabilistic frameworks restricts the applicability of these models for robust diagnostics. The objective of this paper is to develop and validate a probabilistic model to predict engine-out NOx emissions using Gaussian process regression. Our approach is as follows. We employ three variants of Gaussian process models: the first with a standard radial basis function kernel with input window, the second incorporating a deep kernel using convolutional neural networks to capture temporal dependencies, and the third enriching the deep kernel with a causal graph derived via graph convolutional networks. The causal graph embeds physics knowledge into the learning process. All models are compared against a virtual ECM sensor using both quantitative and qualitative metrics. We conclude that our model provides an improvement in predictive performance when using an input window and a deep kernel structure. Even more compelling is the further enhancement achieved by the incorporation of a causal graph into the deep kernel. These findings are corroborated across different validation datasets.




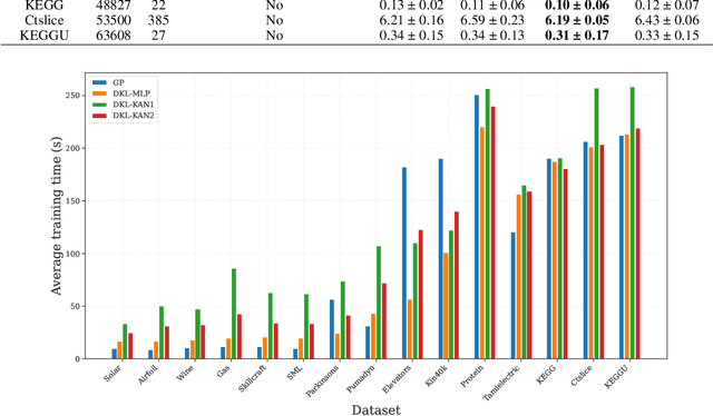
Abstract:The need for scalable and expressive models in machine learning is paramount, particularly in applications requiring both structural depth and flexibility. Traditional deep learning methods, such as multilayer perceptrons (MLP), offer depth but lack ability to integrate structural characteristics of deep learning architectures with non-parametric flexibility of kernel methods. To address this, deep kernel learning (DKL) was introduced, where inputs to a base kernel are transformed using a deep learning architecture. These kernels can replace standard kernels, allowing both expressive power and scalability. The advent of Kolmogorov-Arnold Networks (KAN) has generated considerable attention and discussion among researchers in scientific domain. In this paper, we introduce a scalable deep kernel using KAN (DKL-KAN) as an effective alternative to DKL using MLP (DKL-MLP). Our approach involves simultaneously optimizing these kernel attributes using marginal likelihood within a Gaussian process framework. We analyze two variants of DKL-KAN for a fair comparison with DKL-MLP: one with same number of neurons and layers as DKL-MLP, and another with approximately same number of trainable parameters. To handle large datasets, we use kernel interpolation for scalable structured Gaussian processes (KISS-GP) for low-dimensional inputs and KISS-GP with product kernels for high-dimensional inputs. The efficacy of DKL-KAN is evaluated in terms of computational training time and test prediction accuracy across a wide range of applications. Additionally, the effectiveness of DKL-KAN is also examined in modeling discontinuities and accurately estimating prediction uncertainty. The results indicate that DKL-KAN outperforms DKL-MLP on datasets with a low number of observations. Conversely, DKL-MLP exhibits better scalability and higher test prediction accuracy on datasets with large number of observations.