Abstract:To utilize the full potential of the available power at a base station (BS), we propose a joint precoding, antenna selection, and transmit power control algorithm for a total power budget at the BS. We formulate a sum spectral efficiency (SE) maximization problem for downlink multi-user multiple-input multiple-output (MIMO) rate-splitting multiple access (RSMA) systems with arbitrary-resolution digital-to-analog converters (DACs). We reformulate the problem by defining the ergodic sum SE using the conditional average rate approach to handle imperfect channel state information at the transmitter (CSIT), and by using approximation techniques to make the problem more tractable. Then, we decompose the problem into precoding direction and power control subproblems. We solve the precoding direction subproblem by identifying a superior Lagrangian stationary point, and the power control subproblem using gradient descent. We also propose a complexity-reduction approach that is more suitable for massive MIMO systems. Simulation results not only validate the proposed algorithm but also reveal that when utilizing the full potential of the power budget at the BS, medium-resolution DACs with 8-11 bits may actually be more power-efficient than low-resolution DACs.





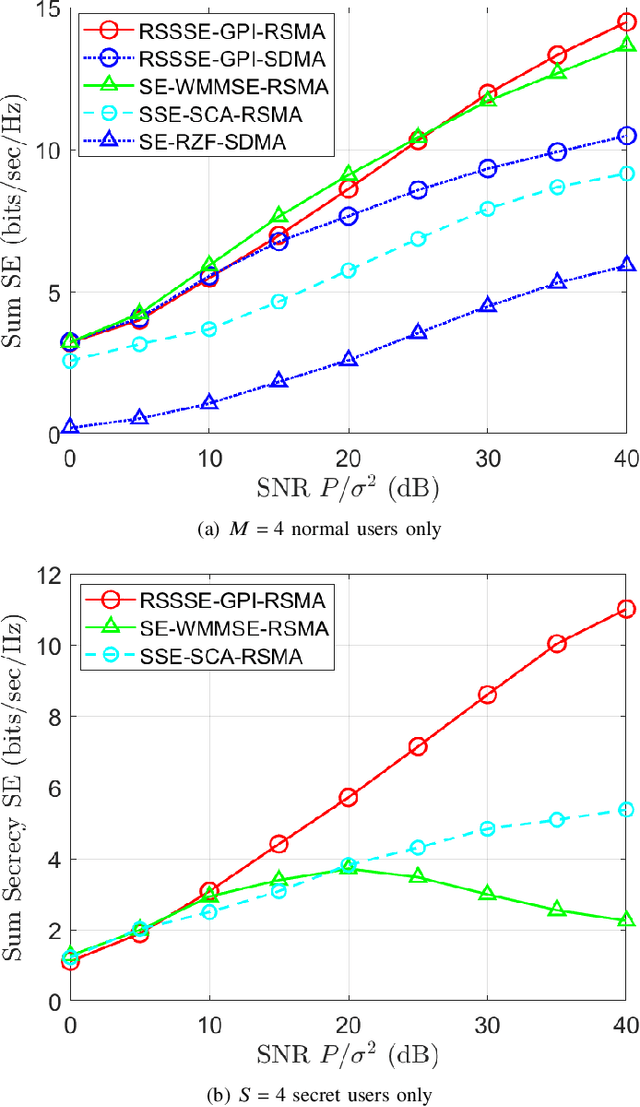
Abstract:In this paper, we propose a robust and adaptable secure precoding framework designed to encapsulate a intricate scenario where legitimate users have different information security: secure private or normal public information. Leveraging rate-splitting multiple access (RSMA), we formulate the sum secrecy spectral efficiency (SE) maximization problem in downlink multi-user multiple-input multiple-output (MIMO) systems with multi-eavesdropper. To resolve the challenges including the heterogeneity of security, non-convexity, and non-smoothness of the problem, we initially approximate the problem using a LogSumExp technique. Subsequently, we derive the first-order optimality condition in the form of a generalized eigenvalue problem. We utilize a power iteration-based method to solve the condition, thereby achieving a superior local optimal solution. The proposed algorithm is further extended to a more realistic scenario involving limited channel state information at the transmitter (CSIT). To effectively utilize the limited channel information, we employ a conditional average rate approach. Handling the conditional average by deriving useful bounds, we establish a lower bound for the objective function under the conditional average. Then we apply the similar optimization method as for the perfect CSIT case. In simulations, we validate the proposed algorithm in terms of the sum secrecy SE.

Abstract:This paper investigates full-duplex (FD) multi-user multiple-input multiple-output (MU-MIMO) system design with coarse quantization. We first analyze the impact of self-interference (SI) on quantization in FD single-input single-output systems. The analysis elucidates that the minimum required number of analog-to-digital converter (ADC) bits is logarithmically proportional to the ratio of total received power to the received power of desired signals. Motivated by this, we design a FD MIMO beamforming method that effectively manages the SI. Dividing a spectral efficiency maximization beamforming problem into two sub-problems for alternating optimization, we address the first by optimizing the precoder: obtaining a generalized eigenvalue problem from the first-order optimality condition, where the principal eigenvector is the optimal stationary solution, and adopting a power iteration method to identify this eigenvector. Subsequently, a quantization-aware minimum mean square error combiner is computed for the derived precoder. Through numerical studies, we observe that the proposed beamformer reduces the minimum required number of ADC bits for achieving higher spectral efficiency than that of half-duplex (HD) systems, compared to FD benchmarks. The overall analysis shows that, unlike with quantized HD systems, more than 6 bits are required for the ADC to fully realize the potential of the quantized FD system.





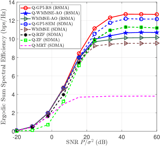
Abstract:This paper investigates the sum spectral efficiency maximization problem in downlink multiuser multiple-input multiple-output (MIMO) systems with low-resolution quantizers at an access point (AP) and users. In particular, we consider rate-splitting multiple access (RSMA) to enhance spectral efficiency by offering opportunities to boost achievable degrees of freedom. Optimizing RSMA precoders, however, is highly challenging due to the minimum rate constraint when determining the rate of the common stream. The quantization errors coupled with the precoders further make the problem more complicated and difficult to solve. In this paper, we develop a novel RSMA precoding algorithm incorporating quantization errors for maximizing the sum spectral efficiency. To this end, we first obtain an approximate spectral efficiency in a smooth function. Subsequently, we derive the first-order optimality condition in the form of the nonlinear eigenvalue problem (NEP). We propose a computationally efficient algorithm to find the principal eigenvector of the NEP as a sub-optimal solution. Simulation results validate the superior spectral efficiency of the proposed method. The key benefit of using RSMA over spatial division multiple access (SDMA) comes from the ability of the common stream to balance between the channel gain and quantization error in multiuser MIMO systems with different quantization resolutions.

Abstract:The paper proposes an image-guided depth completion method to estimate accurate dense depth maps with fast computation time. The proposed network has two-stage structure. The first stage predicts a first depth map. Then, the second stage further refines the first depth map using the confidence maps. The second stage consists of two layers, each of which focuses on different regions and generates a refined depth map and a confidence map. The final depth map is obtained by combining two depth maps from the second stage using the corresponding confidence maps. Compared with the top-ranked models on the KITTI depth completion online leaderboard, the proposed model shows much faster computation time and competitive performance.
