



Abstract:Most smart systems such as smart home and smart health response to human's locations and activities. However, traditional solutions are either require wearable sensors or lead to leaking privacy. This work proposes an ambient radar solution which is a real-time, privacy secure and dark surroundings resistant system. In this solution, we use a low power, Frequency-Modulated Continuous Wave (FMCW) radar array to capture the reflected signals and then construct to 3D image frames. This solution designs $1)$a data preprocessing mechanism to remove background static reflection, $2)$a signal processing mechanism to transfer received complex radar signals to a matrix contains spacial information, and $3)$ a Deep Learning scheme to filter broken frame which caused by the rough surface of human's body. This solution has been extensively evaluated in a research area and captures real-time human images that are recognizable for specific activities. Our results show that the indoor capturing is clear to be recognized frame by frame compares to camera recorded video.




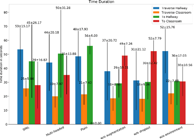
Abstract:Deep imitation learning enables robots to learn from expert demonstrations to perform tasks such as lane following or obstacle avoidance. However, in the traditional imitation learning framework, one model only learns one task, and thus it lacks of the capability to support a robot to perform various different navigation tasks with one model in indoor environments. This paper proposes a new framework, Shared Multi-headed Imitation Learning(SMIL), that allows a robot to perform multiple tasks with one model without switching among different models. We model each task as a sub-policy and design a multi-headed policy to learn the shared information among related tasks by summing up activations from all sub-policies. Compared to single or non-shared multi-headed policies, this framework is able to leverage correlated information among tasks to increase performance.We have implemented this framework using a robot based on NVIDIA TX2 and performed extensive experiments in indoor environments with different baseline solutions. The results demonstrate that SMIL has doubled the performance over nonshared multi-headed policy.