Abstract:We consider statistical tasks in high dimensions whose loss depends on the data only through its projection into a fixed-dimensional subspace spanned by the parameter vectors and certain ground truth vectors. This includes classifying mixture distributions with cross-entropy loss with one and two-layer networks, and learning single and multi-index models with one and two-layer networks. When the data is drawn from an isotropic Gaussian mixture distribution, it is known that the evolution of a finite family of summary statistics under stochastic gradient descent converges to an autonomous ordinary differential equation (ODE), as the dimension and sample size go to $\infty$ and the step size goes to $0$ commensurately. Our main result is that these ODE limits are universal in that this limit is the same whenever the data is drawn from mixtures of arbitrary product distributions whose first two moments match the corresponding Gaussian distribution, provided the initialization and ground truth vectors are coordinate-delocalized. We complement this by proving two corresponding non-universality results. We provide a simple example where the ODE limits are non-universal if the initialization is coordinate aligned. We also show that the stochastic differential equation limits arising as fluctuations of the summary statistics around their ODE's fixed points are not universal.
Abstract:We study the local geometry of empirical risks in high dimensions via the spectral theory of their Hessian and information matrices. We focus on settings where the data, $(Y_\ell)_{\ell =1}^n\in \mathbb R^d$, are i.i.d. draws of a $k$-component Gaussian mixture model, and the loss depends on the projection of the data into a fixed number of vectors, namely $\mathbf{x}^\top Y$, where $\mathbf{x}\in \mathbb{R}^{d\times C}$ are the parameters, and $C$ need not equal $k$. This setting captures a broad class of problems such as classification by one and two-layer networks and regression on multi-index models. We prove exact formulas for the limits of the empirical spectral distribution and outlier eigenvalues and eigenvectors of such matrices in the proportional asymptotics limit, where the number of samples and dimension $n,d\to\infty$ and $n/d=\phi \in (0,\infty)$. These limits depend on the parameters $\mathbf{x}$ only through the summary statistic of the $(C+k)\times (C+k)$ Gram matrix of the parameters and class means, $\mathbf{G} = (\mathbf{x},\mathbf{\mu})^\top(\mathbf{x},\mathbf{\mu})$. It is known that under general conditions, when $\mathbf{x}$ is trained by stochastic gradient descent, the evolution of these same summary statistics along training converges to the solution of an autonomous system of ODEs, called the effective dynamics. This enables us to connect the spectral theory to the training dynamics. We demonstrate our general results by analyzing the effective spectrum along the effective dynamics in the case of multi-class logistic regression. In this setting, the empirical Hessian and information matrices have substantially different spectra, each with their own static and even dynamical spectral transitions.
Abstract:We rigorously study the joint evolution of training dynamics via stochastic gradient descent (SGD) and the spectra of empirical Hessian and gradient matrices. We prove that in two canonical classification tasks for multi-class high-dimensional mixtures and either 1 or 2-layer neural networks, the SGD trajectory rapidly aligns with emerging low-rank outlier eigenspaces of the Hessian and gradient matrices. Moreover, in multi-layer settings this alignment occurs per layer, with the final layer's outlier eigenspace evolving over the course of training, and exhibiting rank deficiency when the SGD converges to sub-optimal classifiers. This establishes some of the rich predictions that have arisen from extensive numerical studies in the last decade about the spectra of Hessian and information matrices over the course of training in overparametrized networks.




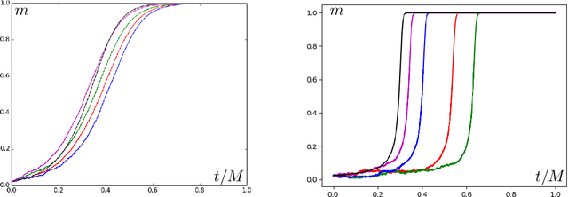
Abstract:We study the scaling limits of stochastic gradient descent (SGD) with constant step-size in the high-dimensional regime. We prove limit theorems for the trajectories of summary statistics (i.e., finite-dimensional functions) of SGD as the dimension goes to infinity. Our approach allows one to choose the summary statistics that are tracked, the initialization, and the step-size. It yields both ballistic (ODE) and diffusive (SDE) limits, with the limit depending dramatically on the former choices. Interestingly, we find a critical scaling regime for the step-size below which the effective ballistic dynamics matches gradient flow for the population loss, but at which, a new correction term appears which changes the phase diagram. About the fixed points of this effective dynamics, the corresponding diffusive limits can be quite complex and even degenerate. We demonstrate our approach on popular examples including estimation for spiked matrix and tensor models and classification via two-layer networks for binary and XOR-type Gaussian mixture models. These examples exhibit surprising phenomena including multimodal timescales to convergence as well as convergence to sub-optimal solutions with probability bounded away from zero from random (e.g., Gaussian) initializations.



Abstract:Stochastic gradient descent (SGD) is a popular algorithm for optimization problems arising in high-dimensional inference tasks. Here one produces an estimator of an unknown parameter from a large number of independent samples of data by iteratively optimizing a loss function. This loss function is high-dimensional, random, and often complex. We study here the performance of the simplest version of SGD, namely online SGD, in the initial "search" phase, where the algorithm is far from a trust region and the loss landscape is highly non-convex. To this end, we investigate the performance of online SGD at attaining a "better than random" correlation with the unknown parameter, i.e, achieving weak recovery. Our contribution is a classification of the difficulty of typical instances of this task for online SGD in terms of the number of samples required as the dimension diverges. This classification depends only on an intrinsic property of the population loss, which we call the information exponent. Using the information exponent, we find that there are three distinct regimes---the easy, critical, and difficult regimes---where one requires linear, quasilinear, and polynomially many samples (in the dimension) respectively to achieve weak recovery. We illustrate our approach by applying it to a wide variety of estimation tasks such as parameter estimation for generalized linear models, two-component Gaussian mixture models, phase retrieval, and spiked matrix and tensor models, as well as supervised learning for single-layer networks with general activation functions. In this latter case, our results translate into a classification of the difficulty of this task in terms of the Hermite decomposition of the activation function.