University of Massachusetts
Abstract:THz band enabled large scale massive MIMO (M-MIMO) is considered as a key enabler for the 6G technology, given its enormous bandwidth and for its low latency connectivity. In the large-scale M-MIMO configuration, enlarged array aperture and small wavelengths of THz results in an amalgamation of both far field and near field paths, which makes tasks such as channel estimation for THz M-MIMO highly challenging. Moreover, at the THz transceiver, radio frequency (RF) impairments such as phase noise (PN) of the analog devices also leads to degradation in channel estimation performance. Classical estimators as well as traditional deep learning (DL) based algorithms struggle to maintain their robustness when performing for large scale antenna arrays i.e., M-MIMO, and when RF impairments are considered for practical usage. To effectively address this issue, it is crucial to utilize a neural network (NN) that has the ability to study the behaviors of the channel and RF impairment correlations, such as a recurrent neural network (RNN). The RF impairments act as sequential noise data which is subsequently incorporated with the channel data, leading to choose a specific type of RNN known as bidirectional long short-term memory (BiLSTM) which is followed by gated recurrent units (GRU) to process the sequential data. Simulation results demonstrate that our proposed model outperforms other benchmark approaches at various signal-to-noise ratio (SNR) levels.
Abstract:Automotive radars at the Terahertz (THz) frequency band have the potential to be compact and lightweight while providing high (nearly-optical) angular resolution. In this paper, we propose a bistatic THz automotive radar that employs the recently proposed orthogonal chirp division multiplexing (OCDM) multi-carrier waveform. As a stand-alone communications waveform, OCDM has been investigated for robustness against interference in time-frequency selective channels. The THz-band path loss, and, hence, radar signal bandwidth, are range-dependent. We address this unique feature through a multi-carrier wideband OCDM sensing transceiver that exploits the coherence bandwidth of the THz channel. We develop an optimal scheme to combine the returns at different range/bandwidths by assigning weights based on the Cramer-Rao lower bound on the range and velocity estimates. Numerical experiments demonstrate improved target estimates using our proposed combined estimation from multiple varied-attenuation THz frequencies.



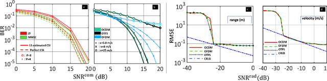
Abstract:We consider a bistatic vehicular integrated sensing and communications (ISAC) system that employs the recently proposed orthogonal chirp division multiplexing (OCDM) multicarrier waveform. As a stand-alone communications waveform, OCDM has been shown to be robust against the interference in time-frequency selective channels. In a bistatic ISAC, we exploit this property to develop efficient receive processing algorithms that achieve high target resolution as well as high communications rate. We derive statistical bounds for our proposed Sequential symbol decoding and radar parameter estimation (SUNDAE) algorithm and compare its competitive performance with other multicarrier waveforms through numerical experiments.