Abstract:Device-to-Device (D2D) communication is one of the enabling technologies for 5G networks that support proximity-based service (ProSe) for wireless network communications. This paper proposes a power control algorithm based on the Nash equilibrium and game theory to eliminate the interference between the cellular user device and D2D links. This leads to reliable connectivity with minimal power consumption in wireless communication. The power control in D2D is modeled as a non-cooperative game. Each device is allowed to independently select and transmit its power to maximize (or minimize) user utility. The aim is to guide user devices to converge with the Nash equilibrium by establishing connectivity with network resources. The proposed algorithm with pricing factors is used for power consumption and reduces overall interference of D2Ds communication. The proposed algorithm is evaluated in terms of the energy efficiency of the average power consumption, the number of D2D communication, and the number of iterations. Besides, the algorithm has a relatively fast convergence with the Nash Equilibrium rate. It guarantees that the user devices can achieve their required Quality of Service (QoS) by adjusting the residual cost coefficient and residual energy factor. Simulation results show that the power control shows a significant reduction in power consumption that has been achieved by approximately 20% compared with algorithms in [11].




Abstract:The multilayer structure is a promising technique used to minimize the size of planar microstrip filters. In the flexible design and incorporation of other microwave components, multilayer band-pass filter results in better and enhanced dimensions. This paper introduces a microstrip fifth-generation (5G) low-frequency band of 2.52-2.65 GHz using a parallel-coupled line (PCL) Bandpass filter and multilayer (ML) hairpin bandpass filter. The targeted four-pole resonator has a center frequency of 2.58 GHz with a bandwidth of 130 MHz. The filters are designed with a 0.1 dB passband ripple with a Chebyshev response. The hairpin-line offers compact filter design structures. Theoretically, they can be obtained by bending half-wavelength resonator resonators with parallel couplings into a "U" shape. The proposed configuration of the parallel-coupled line resonator is used to design the ML band-pass filter. The FR4 substrate with a dielectric constant ({\epsilon}r) of 4.3 and 1.6 mm thickness was used. A comparative analysis between the simulated insertion loss and the reflection coefficient of substrates RO3003 and FR4 was performed to validate the efficiency of the proposed filter design. Simulation of PCL filter is accomplished using computer simulation technology (CST) and an advanced design system (ADS) software. The PCL Bandpass filter was experimentally validated and a total tally between simulation results and measured results were achieved demonstrating a well-measured reflection coefficient. The simulated results obtained by the hairpin ML bandpass filter show that the circuit performs well in terms of Scattering(S) parameters and the filter size is significantly reduced.




Abstract:The full future of the sixth generation will develop a fully data-driven that provide terabit rate per second, and adopt an average of 1000+ massive number of connections per person in 10 years 2030 virtually instantaneously. Data-driven for ultra-reliable and low latency communication is a new service paradigm provided by a new application of future sixth-generation wireless communication and network architecture, involving 100+ Gbps data rates with one millisecond latency. The key constraint is the amount of computing power available to spread massive data and well-designed artificial neural networks. Artificial Intelligence provides a new technique to design wireless networks by apply learning, predicting, and make decisions to manage the stream of big data training individuals, which provides more the capacity to transform that expert learning to develop the performance of wireless networks. We study the developing technologies that will be the driving force are artificial intelligence, communication systems to guarantee low latency. This paper aims to discuss the efficiency of the developing network and alleviate the great challenge for application scenarios and study Holographic radio, enhanced wireless channel coding, enormous Internet of Things integration, and haptic communication for virtual and augmented reality provide new services on the 6G network. Furthermore, improving a multi-level architecture for ultra-reliable and low latency in deep Learning allows for data-driven AI and 6G networks for device intelligence, as well as allowing innovations based on effective learning capabilities. These difficulties must be solved in order to meet the needs of future smart networks. Furthermore, this research categorizes various unexplored research gaps between machine learning and the sixth generation.




Abstract:Due to Unmanned aerial vehicles (UAVs) limitations in processing power and battery lifetime. The tethered UAV (TUAV) offers an attractive approach to answer these shortcomings. Since a tethered connected to UAV is one potential energy solution to provide a stable power supply that connects to the ground would achieve impressive performances in smart environments and disaster recovery. The proposed solution is intended to provide stable energy and increase the coverage area of TUAV for smart environments and disaster recovery. This paper proposed that the tethered connected to UAV will provide the continuous supply and exchange the data with ground terminals. Besides the adjustable tether length, elevation angels act to increase the hovering region, leading to the scalability of coverage in many applications. Moreover, the power consumption and transmission the distance while achieving a trade-off between the hovering and coverage probabilities. The simulation results demonstrate efficient performance in terms of line-of-sight probability, path loss, and coverage probability for scalability coverage smart environments and disaster recovery scenarios. Furthermore, maximum coverage probability is achieved versus increased tethered length because of the gain and fly over a region of maximum tethered.


Abstract:Massive multiple-input multiple-output is a very important technology for future fifth-generation systems. However, massive massive multiple input multiple output systems are still limited because of pilot contamination, impacting the data rate due to the non-orthogonality of pilot sequences transmitted by users in the same cell to the neighboring cells. We propose a channel estimation with complete knowledge of large-scale fading by using an orthogonal pilot reuse sequence to eliminate PC in edge users with poor channel quality based on the estimation of large-scale fading and performance analysis of maximum ratio transmission and zero forcing precoding methods. We derived the lower bounds on the achievable downlink DR and signal-to-interference noise ratio based on assigning PRS to a user grouping that mitigated this problem when the number of antenna elements approaches infinity The simulation results showed that a high DR can be achieved due to better channel estimation and reduced performance loss

Abstract:This paper investigates joint antenna selection and optimal transmit power in multi cell massive multiple input multiple output systems. The pilot interference and activated transmit antenna selection plays an essential role in maximizing energy efficiency. We derived the closed-form of maximal energy efficiency with complete knowledge of large-scale fading with maximum ratio transmission while accounting for channel estimation and eliminated pilot contamination when the antennas approach infinity. We investigated joint optimal antenna selection and optimal transmit power under minimized reuse of pilot sequences based on a novel iterative low-complexity algorithm for Lagrange multiplayer and Newton methods. The two scenarios of achievable high data rate and total transmit power allocation are critical to the performance maximal energy efficiency. We propose new power consumption for each antenna based on the transmit power amplifier and circuit power consumption to analyze exact power consumption. The simulation results show that maximal energy efficiency could be achieved using the iterative low complexity algorithm based on the reasonable maximum transmit power when the noise power was less than the power received pilot. The proposed low complexity iterative algorithm offers maximum energy efficiency by repeating a minimized pilot signal until the optimal antenna selection and transmission power are achieved.



Abstract:A massive multiple input multiple-output system is very important to optimize the trade-off energy efficiency and spectral efficiency in fifth-generation cellular networks. The challenges for the next generation depend on increasing the high data traffic in the wireless communication system for both EE and SE. In this paper, the trade off energy efficiency and spectral efficiency based on the first derivative of transmit antennas and transmit power in a downlink massive MIMO system has been investigated. The trade off EE-SE by using a multiobjective optimization problem to decrease transmit power has been analyzed. The EE and SE based on constraint maximum transmit power allocation and a number of antennas by computing the first derivative of transmit power to maximize the trade-off energy efficiency and spectral efficiency has been improved. From the simulation results, the optimum trade-off between EE and SE can be obtained based on the first derivative by selecting the optimal antennas with a low cost of transmit power. Therefore, based on an optimal optimization problem is flexible to make trade-offs between EE-SE for distinct preferences




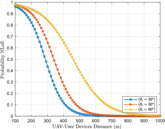
Abstract:Natural disasters such as floods and earthquakes immensely impact the telecommunication network infrastructure, leading to the malfunctioning and interruption of wireless services. Consequently, the user devices under the disaster zone are unable to access the cellular base stations. Wireless coverage on an unmanned aerial vehicle (UAV) is considered for providing coverage service to ground user devices in disaster events. This work evaluated the efficient performance of wireless coverage services of UAVs to provide the internet to fly things to help recover the communications link in a natural disaster in multi environments. The results demonstrate the line of sight, nonline of sight, path loss, and coverage probability for the radio propagation environment scenario. Therefore, the path loss and coverage probability are affected by the user devices' elevation angle and distance in the multi-environment system. The user position's optimum user device distance and elevation angle are also investigated to improve the coverage probability, which could be especially useful for the UAV deployment design.




Abstract:Researchers and robotic development groups have recently started paying special attention to autonomous mobile robot navigation in indoor environments using vision sensors. The required data is provided for robot navigation and object detection using a camera as a sensor. The aim of the project is to construct a mobile robot that has integrated vision system capability used by a webcam to locate, track and follow a moving object. To achieve this task, multiple image processing algorithms are implemented and processed in real-time. A mini-laptop was used for collecting the necessary data to be sent to a PIC microcontroller that turns the processes of data obtained to provide the robot's proper orientation. A vision system can be utilized in object recognition for robot control applications. The results demonstrate that the proposed mobile robot can be successfully operated through a webcam that detects the object and distinguishes a tennis ball based on its color and shape.




Abstract:The malfunction or interruption of wireless coverage services has been shown to increase the mortality rate during natural disasters. Wireless coverage by an unmanned aerial vehicle (UAV) provides network coverage to ground user devices during and post-disaster events. The relay hops receive wireless coverage and can be forwarded to user devices that are out of coverage allowing reliable connectivity for large-scale user devices. This work evaluates the optimal relay hops performance to improve wireless coverage services and establish connectivity in post-disaster scenarios. The results demonstrate the UAV line of sights understanding to select an optimal relay for improving wireless coverage services. The path loss probability and system capacity were all affected by the user device distance and relay densities. The optimal relay hop distance and the UAV positions static are also investigated to improve coverage likelihood which could be especially useful for UAV deployment design. It is found that the dense relays node in UAV systems enhances the capacity coverage area and energy efficiency by decentralized connectivity through a multihop device to device wireless network.