



Abstract:The study attempted to understand the University students' digital reading habits and their related skills. It also has a view of students' preferred sources of reading, whether physical or digital resources. For this study, we conducted a survey study with students and research scholars of the Central University of Tamil Nadu, India. The instrument was a structured questionnaire distributed with various modes. The result found that the majority of the students are well known about digital tools and usage, most of the students are excellent in digital literacy skills and other findings is however they are good in digital literacy even though they like to read print books is their most favorable preference. The results conclude that whatever technological devices are developed and students have also grown their technical knowledge. The result finds out, in education especially reading-wise, students or readers' first wish is printed resources; digital books are secondary to them.




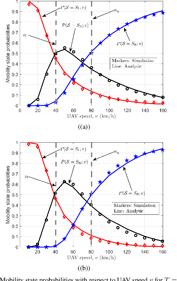
Abstract:To ensure reliable and effective mobility management for aerial user equipment (UE), estimating the speed of cellular-connected unmanned aerial vehicles (UAVs) carries critical importance since this can help to improve the quality of service of the cellular network. The 3GPP LTE standard uses the number of handovers made by a UE during a predefined time period to estimate the speed and the mobility state efficiently. In this paper, we introduce an approximation to the probability mass function of handover count (HOC) as a function of a cellular-connected UAV's height and velocity, HOC measurement time window, and different ground base station (GBS) densities. Afterward, we derive the Cramer-Rao lower bound (CRLB) for the speed estimate of a UAV, and also provide a simple biased estimator for the UAV's speed which depends on the GBS density and HOC measurement period. Interestingly, for a low time-to-trigger (TTT) parameter, the biased estimator turns into a minimum variance unbiased estimator (MVUE). By exploiting this speed estimator, we study the problem of detecting the mobility state of a UAV as low, medium, or high mobility as per the LTE specifications. Using CRLBs and our proposed MVUE, we characterize the accuracy improvement in speed estimation and mobility state detection as the GBS density and the HOC measurement window increase. Our analysis also shows that the accuracy of the proposed estimator does not vary significantly with respect to the TTT parameter.




Abstract:By serving as an analog to traffic signal lights, communication signaling for drone to drone communications holds the key to the success of advanced air mobility (AAM) in both urban and rural settings. Deployment of AAM applications such as air taxis and air ambulances, especially at large-scale, requires a reliable channel for a point-to-point and broadcast communication between two or more aircraft. Achieving such high reliability, in a highly mobile environment, requires communication systems designed for agility and efficiency. This paper presents the foundations for establishing and maintaining a reliable communication channel among multiple aircraft in unique AAM settings. Subsequently, it presents concepts and results on wireless coverage and mobility for AAM services using cellular networks as a ground network infrastructure. Finally, we analyze the wireless localization performance at 3D AAM corridors when cellular networks are utilized, considering different corridor heights and base station densities. We highlight future research directions and open problems to improve wireless coverage and localization throughout the manuscript.




Abstract:Multi-party dialogues are common in enterprise social media on technical as well as non-technical topics. The outcome of a conversation may be positive or negative. It is important to analyze why a dialogue ends with a particular sentiment from the point of view of conflict analysis as well as future collaboration design. We propose an explainable time series mining algorithm for such analysis. A dialogue is represented as an attributed time series of occurrences of keywords, EMPATH categories, and inferred sentiments at various points in its progress. A special decision tree, with decision metrics that take into account temporal relationships between dialogue events, is used for predicting the cause of the outcome sentiment. Interpretable rules mined from the classifier are used to explain the prediction. Experimental results are presented for the enterprise social media posts in a large company.