



Abstract:Opioids are the preferred medications for the treatment of pain in the intensive care unit. While undertreatment leads to unrelieved pain and poor clinical outcomes, excessive use of opioids puts patients at risk of experiencing multiple adverse effects. In this work, we present a sequential decision making framework for opioid dosing based on deep reinforcement learning. It provides real-time clinically interpretable dosing recommendations, personalized according to each patient's evolving pain and physiological condition. We focus on morphine, one of the most commonly prescribed opioids. To train and evaluate the model, we used retrospective data from the publicly available MIMIC-3 database. Our results demonstrate that reinforcement learning may be used to aid decision making in the intensive care setting by providing personalized pain management interventions.




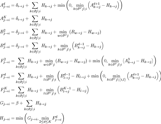
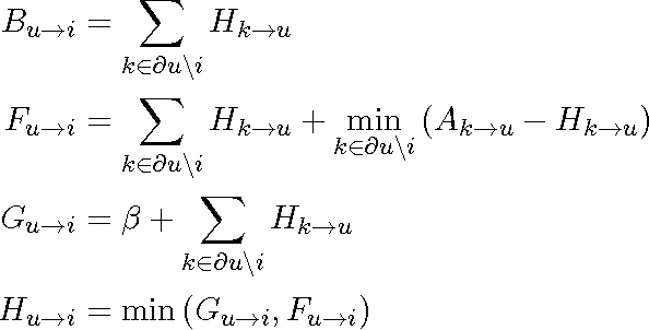
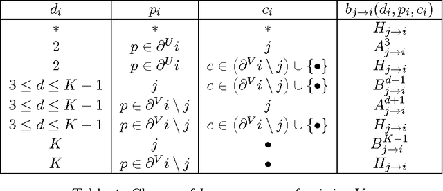
Abstract:We consider the problem of packing node-disjoint directed paths in a directed graph. We consider a variant of this problem where each path starts within a fixed subset of root nodes, subject to a given bound on the length of paths. This problem is motivated by the so-called kidney exchange problem, but has potential other applications and is interesting in its own right. We propose a new algorithm for this problem based on the message passing/belief propagation technique. A priori this problem does not have an associated graphical model, so in order to apply a belief propagation algorithm we provide a novel representation of the problem as a graphical model. Standard belief propagation on this model has poor scaling behavior, so we provide an efficient implementation that significantly decreases the complexity. We provide numerical results comparing the performance of our algorithm on both artificially created graphs and real world networks to several alternative algorithms, including algorithms based on integer programming (IP) techniques. These comparisons show that our algorithm scales better to large instances than IP-based algorithms and often finds better solutions than a simple algorithm that greedily selects the longest path from each root node. In some cases it also finds better solutions than the ones found by IP-based algorithms even when the latter are allowed to run significantly longer than our algorithm.




Abstract:We introduce a new type of graphical model that we call a "memory factor network" (MFN). We show how to use MFNs to model the structure inherent in many types of data sets. We also introduce an associated message-passing style algorithm called "proactive message passing"' (PMP) that performs inference on MFNs. PMP comes with convergence guarantees and is efficient in comparison to competing algorithms such as variants of belief propagation. We specialize MFNs and PMP to a number of distinct types of data (discrete, continuous, labelled) and inference problems (interpolation, hypothesis testing), provide examples, and discuss approaches for efficient implementation.