Abstract:Air pollution is a result of multiple sources including both natural and anthropogenic activities. The rapid urbanization of the cities such as Bujumbura economic capital of Burundi, is one of these factors. The very first characterization of the spatio-temporal variability of PM2.5 in Bujumbura and the forecasting of PM2.5 concentration have been conducted in this paper using data collected during a year, from august 2022 to august 2023, by low cost sensors installed in Bujumbura city. For each commune, an hourly, daily and seasonal analysis were carried out and the results showed that the mass concentrations of PM2.5 in the three municipalities differ from one commune to another. The average hourly and annual PM2.5 concentrations exceed the World Health Organization standards. The range is between 28.3 and 35.0 microgram/m3 . In order to make prediction of PM2.5 concentration, an investigation of RNN with Long Short Term Memory (LSTM) has been undertaken.




Abstract:Atmospheric pollution remains one of the major public health threat worldwide with an estimated 7 millions deaths annually. In Africa, rapid urbanization and poor transport infrastructure are worsening the problem. In this paper, we have analysed spatio-temporal variations of PM2.5 across different geographical regions in Africa. The West African region remains the most affected by the high levels of pollution with a daily average of 40.856 $\mu g/m^3$ in some cities like Lagos, Abuja and Bamako. In East Africa, Uganda is reporting the highest pollution level with a daily average concentration of 56.14 $\mu g/m^3$ and 38.65 $\mu g/m^3$ for Kigali. In countries located in the central region of Africa, the highest daily average concentration of PM2.5 of 90.075 $\mu g/m^3$ was recorded in N'Djamena. We compare three data driven models in predicting future trends of pollution levels. Neural network is outperforming Gaussian processes and ARIMA models.




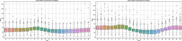
Abstract:Air pollution is a major public health problem worldwide although the lack of data is a global issue for most low and middle income countries. Ambient air pollution in the form of fine particulate matter (PM2.5) exceeds the World Health Organization guidelines in Rwanda with a daily average of around 42.6 microgram per meter cube. Monitoring and mitigation strategies require an expensive investment in equipment to collect pollution data. Low-cost sensor technology and machine learning methods have appeared as an alternative solution to get reliable information for decision making. This paper analyzes the trend of air pollution in Rwanda and proposes forecasting models suitable to data collected by a network of low-cost sensors deployed in Rwanda.




Abstract:Linear systems occur throughout engineering and the sciences, most notably as differential equations. In many cases the forcing function for the system is unknown, and interest lies in using noisy observations of the system to infer the forcing, as well as other unknown parameters. In differential equations, the forcing function is an unknown function of the independent variables (typically time and space), and can be modelled as a Gaussian process (GP). In this paper we show how the adjoint of a linear system can be used to efficiently infer forcing functions modelled as GPs, after using a truncated basis expansion of the GP kernel. We show how exact conjugate Bayesian inference for the truncated GP can be achieved, in many cases with substantially lower computation than would be required using MCMC methods. We demonstrate the approach on systems of both ordinary and partial differential equations, and by testing on synthetic data, show that the basis expansion approach approximates well the true forcing with a modest number of basis vectors. Finally, we show how to infer point estimates for the non-linear model parameters, such as the kernel length-scales, using Bayesian optimisation.