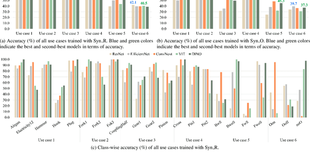
Abstract:This paper addresses key aspects of domain randomization in generating synthetic data for manufacturing object detection applications. To this end, we present a comprehensive data generation pipeline that reflects different factors: object characteristics, background, illumination, camera settings, and post-processing. We also introduce the Synthetic Industrial Parts Object Detection dataset (SIP15-OD) consisting of 15 objects from three industrial use cases under varying environments as a test bed for the study, while also employing an industrial dataset publicly available for robotic applications. In our experiments, we present more abundant results and insights into the feasibility as well as challenges of sim-to-real object detection. In particular, we identified material properties, rendering methods, post-processing, and distractors as important factors. Our method, leveraging these, achieves top performance on the public dataset with Yolov8 models trained exclusively on synthetic data; mAP@50 scores of 96.4% for the robotics dataset, and 94.1%, 99.5%, and 95.3% across three of the SIP15-OD use cases, respectively. The results showcase the effectiveness of the proposed domain randomization, potentially covering the distribution close to real data for the applications.




Abstract:This paper is about effectively utilizing synthetic data for training deep neural networks for industrial parts classification, in particular, by taking into account the domain gap against real-world images. To this end, we introduce a synthetic dataset that may serve as a preliminary testbed for the Sim-to-Real challenge; it contains 17 objects of six industrial use cases, including isolated and assembled parts. A few subsets of objects exhibit large similarities in shape and albedo for reflecting challenging cases of industrial parts. All the sample images come with and without random backgrounds and post-processing for evaluating the importance of domain randomization. We call it Synthetic Industrial Parts dataset (SIP-17). We study the usefulness of SIP-17 through benchmarking the performance of five state-of-the-art deep network models, supervised and self-supervised, trained only on the synthetic data while testing them on real data. By analyzing the results, we deduce some insights on the feasibility and challenges of using synthetic data for industrial parts classification and for further developing larger-scale synthetic datasets. Our dataset and code are publicly available.