Abstract:This paper introduces a novel framework for graph sparsification that preserves the essential learning attributes of original graphs, improving computational efficiency and reducing complexity in learning algorithms. We refer to these sparse graphs as "learning backbones". Our approach leverages the zero-forcing (ZF) phenomenon, a dynamic process on graphs with applications in network control. The key idea is to generate a tree from the original graph that retains critical dynamical properties. By correlating these properties with learning attributes, we construct effective learning backbones. We evaluate the performance of our ZF-based backbones in graph classification tasks across eight datasets and six baseline models. The results demonstrate that our method outperforms existing techniques. Additionally, we explore extensions using node distance metrics to further enhance the framework's utility.
Abstract:Network control theory (NCT) offers a robust analytical framework for understanding the influence of network topology on dynamic behaviors, enabling researchers to decipher how certain patterns of external control measures can steer system dynamics towards desired states. Distinguished from other structure-function methodologies, NCT's predictive capabilities can be coupled with deploying Graph Neural Networks (GNNs), which have demonstrated exceptional utility in various network-based learning tasks. However, the performance of GNNs heavily relies on the expressiveness of node features, and the lack of node features can greatly degrade their performance. Furthermore, many real-world systems may lack node-level information, posing a challenge for GNNs.To tackle this challenge, we introduce a novel approach, NCT-based Enhanced Feature Augmentation (NCT-EFA), that assimilates average controllability, along with other centrality indices, into the feature augmentation pipeline to enhance GNNs performance. Our evaluation of NCT-EFA, on six benchmark GNN models across two experimental setting. solely employing average controllability and in combination with additional centrality metrics. showcases an improved performance reaching as high as 11%. Our results demonstrate that incorporating NCT into feature enrichment can substantively extend the applicability and heighten the performance of GNNs in scenarios where node-level information is unavailable.
Abstract:In this paper, we study the problem of unsupervised graph representation learning by harnessing the control properties of dynamical networks defined on graphs. Our approach introduces a novel framework for contrastive learning, a widely prevalent technique for unsupervised representation learning. A crucial step in contrastive learning is the creation of 'augmented' graphs from the input graphs. Though different from the original graphs, these augmented graphs retain the original graph's structural characteristics. Here, we propose a unique method for generating these augmented graphs by leveraging the control properties of networks. The core concept revolves around perturbing the original graph to create a new one while preserving the controllability properties specific to networks and graphs. Compared to the existing methods, we demonstrate that this innovative approach enhances the effectiveness of contrastive learning frameworks, leading to superior results regarding the accuracy of the classification tasks. The key innovation lies in our ability to decode the network structure using these control properties, opening new avenues for unsupervised graph representation learning.




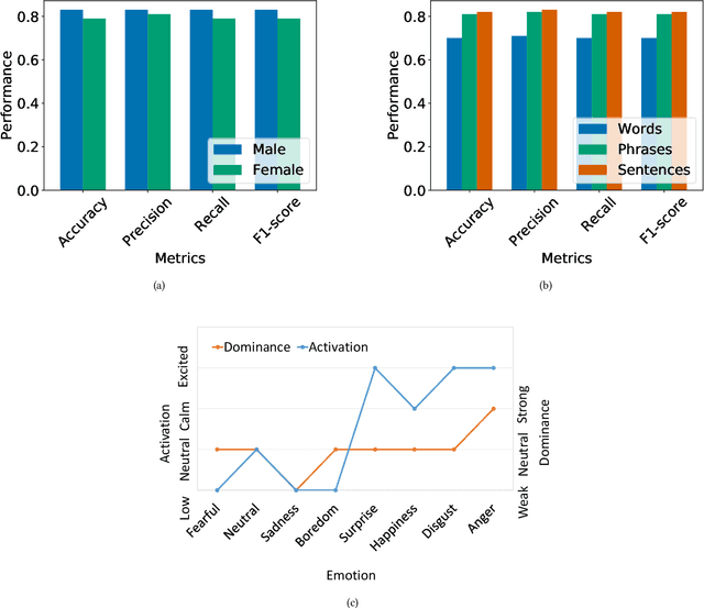
Abstract:Designing reliable Speech Emotion Recognition systems is a complex task that inevitably requires sufficient data for training purposes. Such extensive datasets are currently available in only a few languages, including English, German, and Italian. In this paper, we present SEMOUR, the first scripted database of emotion-tagged speech in the Urdu language, to design an Urdu Speech Recognition System. Our gender-balanced dataset contains 15,040 unique instances recorded by eight professional actors eliciting a syntactically complex script. The dataset is phonetically balanced, and reliably exhibits a varied set of emotions as marked by the high agreement scores among human raters in experiments. We also provide various baseline speech emotion prediction scores on the database, which could be used for various applications like personalized robot assistants, diagnosis of psychological disorders, and getting feedback from a low-tech-enabled population, etc. On a random test sample, our model correctly predicts an emotion with a state-of-the-art 92% accuracy.