Abstract:Speaker diarization systems segment a conversation recording based on the speakers' identity. Such systems can misclassify the speaker of a portion of audio due to a variety of factors, such as speech pattern variation, background noise, and overlapping speech. These errors propagate to, and can adversely affect, downstream systems that rely on the speaker's identity, such as speaker-adapted speech recognition. One of the ways to mitigate these errors is to provide segment-level diarization confidence scores to downstream systems. In this work, we investigate multiple methods for generating diarization confidence scores, including those derived from the original diarization system and those derived from an external model. Our experiments across multiple datasets and diarization systems demonstrate that the most competitive confidence score methods can isolate ~30% of the diarization errors within segments with the lowest ~10% of confidence scores.





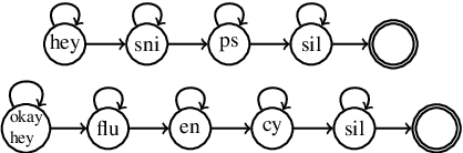
Abstract:As virtual assistants have become more diverse and specialized, so has the demand for application or brand-specific wake words. However, the wake-word-specific datasets typically used to train wake-word detectors are costly to create. In this paper, we explore two techniques to leverage acoustic modeling data for large-vocabulary speech recognition to improve a purpose-built wake-word detector: transfer learning and knowledge distillation. We also explore how these techniques interact with time-synchronous training targets to improve detection latency. Experiments are presented on the open-source "Hey Snips" dataset and a more challenging in-house far-field dataset. Using phone-synchronous targets and knowledge distillation from a large acoustic model, we are able to improve accuracy across dataset sizes for both datasets while reducing latency.
