



Abstract:We present a novel method to reduce the number of repeaters and amplifiers in trans-oceanic links by distributing a given data capacity in spatial channels. We analytically, numerically and experimentally demonstrate the principle and show that about 40% of the repeaters can be omitted compared to a recently deployed cable. The method predicts that a single-fiber transmission link with 50 km amplifier spacing would be better off, repeater-wise, if the targeted single-fiber capacity is distributed in two fibers, each with an amplifier spacing of 150 km. In this scenario, one would thus only require 2/3 of the original number of amplifiers, and only 1/3 of the number of repeaters, housing the amplifiers. To test the principle of the proposed method, we experimentally and numerically investigate a 6900-km long link with amplifier spacing of 50 and 150 km using a recirculating fiber transmission loop,and find that the result supports the analytical model and thus the proposed method. We then use this concept to analytically investigate a realistic 12-fiber pair cable, and find that the same capacity could be distributed in 16 fiber pairs requiring only about 60% of the original number of repeaters.




Abstract:Fiber nonlinearity compensation of probabilistically shaped constellations with adaptive turbo equalization is investigated for the first time. Potential for more than 100% transmission reach extension is demonstrated by combining probabilistic shaping, single-channel digital backpropagation, and adaptive turbo equalization.




Abstract:The problem of Raman amplifier optimization is studied. A differentiable interpolation function is obtained for the Raman gain coefficient using machine learning (ML), which allows for the gradient descent optimization of forward-propagating Raman pumps. Both the frequency and power of an arbitrary number of pumps in a forward pumping configuration are then optimized for an arbitrary data channel load and span length. The forward propagation model is combined with an experimentally-trained ML model of a backward-pumping Raman amplifier to jointly optimize the frequency and power of the forward amplifier's pumps and the powers of the backward amplifier's pumps. The joint forward and backward amplifier optimization is demonstrated for an unrepeatered transmission of 250 km. A gain flatness of $<$ 1~dB over 4 THz is achieved. The optimized amplifiers are validated using a numerical simulator.




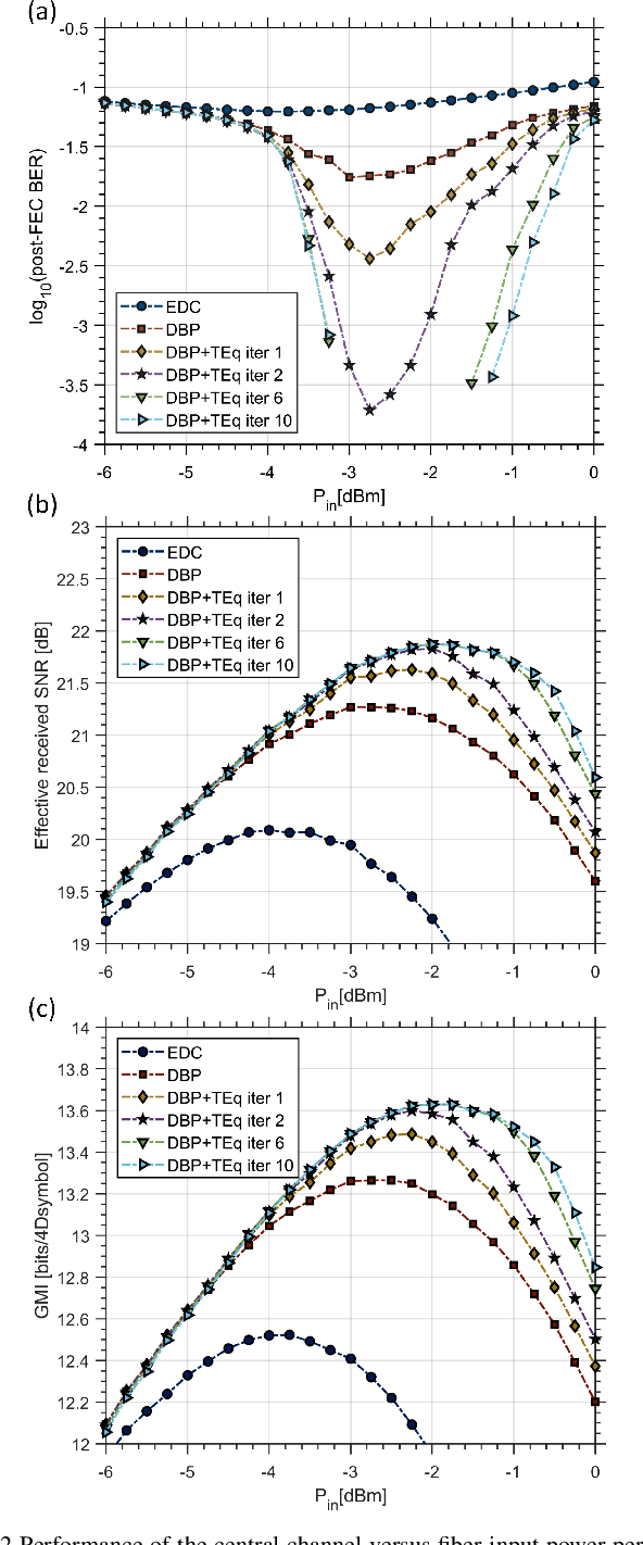
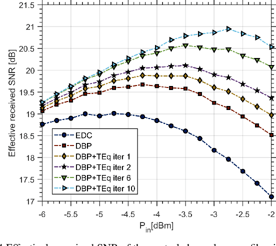
Abstract:In this paper, the performance of adaptive turbo equalization for nonlinearity compensation (NLC) is investigated. A turbo equalization scheme is proposed where a recursive least-squares (RLS) algorithm is used as an adaptive channel estimator to track the time-varying intersymbol interference (ISI) coefficients associated with inter-channel nonlinear interference (NLI) model. The estimated channel coefficients are used by a MIMO 2x2 soft-input soft-output (SISO) linear minimum mean square error (LMMSE) equalizer to compensate for the time-varying ISI. The SISO LMMSE equalizer and the SISO forward error correction (FEC) decoder exchange extrinsic information in every turbo iteration, allowing the receiver to improve the performance of the channel estimation and the equalization, achieving lower bit-error-rate (BER) values. The proposed scheme is investigated for polarization multiplexed 64QAM and 256QAM, although it applies to any proper modulation format. Extensive numerical results are presented. It is shown that the scheme allows up to 0.7 dB extra gain in effectively received signal-to-noise ratio (SNR) and up to 0.2 bits/symbol/pol in generalized mutual information (GMI), on top of the gain provided by single-channel digital backpropagation.




Abstract:Throughput optimization of optical communication systems is a key challenge for current optical networks. The use of gain-flattening filters (GFFs) simplifies the problem at the cost of insertion loss, higher power consumption and potentially poorer performance. In this work, we propose a component wise model of a multi-span transmission system for signal-to-noise (SNR) optimization. A machine-learning based model is trained for the gain and noise figure spectral profile of a C-band amplifier without a GFF. The model is combined with the Gaussian noise model for nonlinearities in optical fibers including stimulated Raman scattering and the implementation penalty spectral profile measured in back-to-back in order to predict the SNR in each channel of a multi-span wavelength division multiplexed system. All basic components in the system model are differentiable and allow for the gradient descent-based optimization of a system of arbitrary configuration in terms of number of spans and length per span. When the input power profile is optimized for flat and maximized received SNR per channel, the minimum performance in an arbitrary 3-span experimental system is improved by up to 8 dB w.r.t. a system with flat input power profile. An SNR flatness down to 1.2 dB is simultaneously achieved. The model and optimization methods are used to optimize the performance of an example core network, and 0.2 dB of gain is shown w.r.t. solutions that do not take into account nonlinearities. The method is also shown to be beneficial for systems with ideal gain flattening, achieving up to 0.3 dB of gain w.r.t. a flat input power profile.



Abstract:Training of autoencoders using the backpropagation algorithm is challenging for non-differential channel models or in an experimental environment where gradients cannot be computed. In this paper, we study a gradient-free training method based on the cubature Kalman filter. To numerically investigate the method, the autoencoder is employed to perform geometric constellation shaping on a non-differentiable communication channel that includes: laser phase noise, additive white Gaussian noise and blind phase search-based phase noise compensation. Our results indicate that the autoencoder can be successfully optimized using the proposed training method. We also show that the learned constellations are more robust to residual phase noise with respect to standard constellation schemes such as Quadratude Amplitude Modulation and Iterative Polar Modulation for the considered conditions.