



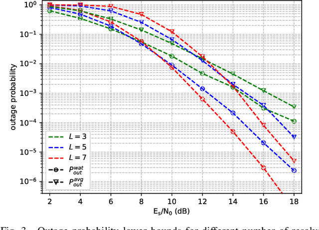
Abstract:Orthogonal time frequency space (OTFS) modulation is widely acknowledged as a prospective waveform for future wireless communication networks.To provide insights for the practical system design, this paper analyzes the outage probability of OTFS modulation with finite blocklength.To begin with, we present the system model and formulate the analysis of outage probability for OTFS with finite blocklength as an equivalent problem of calculating the outage probability with finite blocklength over parallel additive white Gaussian noise (AWGN) channels.Subsequently, we apply the equivalent noise approach to derive a lower bound on the outage probability of OTFS with finite blocklength under both average power allocation and water-filling power allocation strategies, respectively.Finally, the lower bounds of the outage probability are determined using the Monte-Carlo method for the two power allocation strategies.The impact of the number of resolvable paths and coding rates on the outage probability is analyzed, and the simulation results are compared with the theoretical lower bounds.

Abstract:Due to their flexibility and dynamic coverage capabilities, Unmanned Aerial Vehicles (UAVs) have emerged as vital platforms for emergency communication in disaster-stricken areas. However, the complex channel conditions in high-speed mobile scenarios significantly impact the reliability and efficiency of traditional communication systems. This paper presents an intelligent emergency communication framework that integrates Orthogonal Time Frequency Space (OTFS) modulation, semantic communication, and a diffusion-based denoising module to address these challenges. OTFS ensures robust communication under dynamic channel conditions due to its superior anti-fading characteristics and adaptability to rapidly changing environments. Semantic communication further enhances transmission efficiency by focusing on key information extraction and reducing data redundancy. Moreover, a diffusion-based channel denoising module is proposed to leverage the gradual noise reduction process and statistical noise modeling, optimizing the accuracy of semantic information recovery. Experimental results demonstrate that the proposed solution significantly improves link stability and transmission performance in high-mobility UAV scenarios, achieving at least a 3dB SNR gain over existing methods.

Abstract:In this paper, we consider transmit beamforming and reflection patterns design in reconfigurable intelligent surface (RIS)-assisted integrated sensing and communication (ISAC) systems, where the dual-function base station (DFBS) lacks channel state information (CSI). To address the high overhead of cascaded channel estimation, we propose an improved artificial fish swarm algorithm (AFSA) combined with a feedback-based joint active and passive beam training scheme. In this approach, we consider the interference caused by multipath user echo signals on target detection and propose a beamforming design method that balances both communication and sensing performance. Numerical simulations show that the proposed AFSA outperforms other optimization algorithms, particularly in its robustness against echo interference under different communication signal-to-noise ratio (SNR) constraints.

Abstract:This paper investigates a transmission scheme for enhancing quantum communication security, aimed at improving the security of space-air-ground integrated networks (SAGIN). Quantum teleportation achieves the transmission of quantum states through quantum channels. In simple terms, an unknown quantum state at one location can be reconstructed on a particle at another location. By combining classical Turbo coding with quantum Shor error-correcting codes, we propose a practical solution that ensures secure information transmission even in the presence of errors in both classical and quantum channels. To provide absolute security under SAGIN, we add a quantum secure direct communication (QSDC) protocol to the current system. Specifically, by accounting for the practical scenario of eavesdropping in quantum channels, the QSDC protocol utilizes virtual entangled pairs to detect the presence of eavesdroppers. Consequently, the overall scheme guarantees both the reliability and absolute security of communication.





Abstract:Semantic Communication (SC) is an emerging technology that has attracted much attention in the sixth-generation (6G) mobile communication systems. However, few literature has fully considered the perceptual quality of the reconstructed image. To solve this problem, we propose a generative SC for wireless image transmission (denoted as SC-CDM). This approach leverages compact diffusion models to improve the fidelity and semantic accuracy of the images reconstructed after transmission, ensuring that the essential content is preserved even in bandwidth-constrained environments. Specifically, we aim to redesign the swin Transformer as a new backbone for efficient semantic feature extraction and compression. Next, the receiver integrates the slim prior and image reconstruction networks. Compared to traditional Diffusion Models (DMs), it leverages DMs' robust distribution mapping capability to generate a compact condition vector, guiding image recovery, thus enhancing the perceptual details of the reconstructed images. Finally, a series of evaluation and ablation studies are conducted to validate the effectiveness and robustness of the proposed algorithm and further increase the Peak Signal-to-Noise Ratio (PSNR) by over 17% on top of CNN-based DeepJSCC.

Abstract:In this paper, performance of a lossy cooperative unmanned aerial vehicle (UAV) relay communication system is analyzed. In this system, the UAV relay adopts lossy forward (LF) strategy and the receiver has certain distortion requirements for the received information. For the system described above, we first derive the achievable rate distortion region of the system. Then, on the basis of the region analysis, the system outage probability when the channel suffers Nakagami-$m$ fading is analyzed. Finally, we design an optimal relay position identification algorithm based on the Soft Actor-Critic (SAC) algorithm, which determines the optimal UAV position to minimize the outage probability. The simulation results show that the proposed algorithm can optimize the UAV position and reduce the system outage probability effectively.





Abstract:Most current Deep Learning-based Semantic Communication (DeepSC) systems are designed and trained exclusively for particular single-channel conditions, which restricts their adaptability and overall bandwidth utilization. To address this, we propose an innovative Semantic Adaptive Feature Extraction (SAFE) framework, which significantly improves bandwidth efficiency by allowing users to select different sub-semantic combinations based on their channel conditions. This paper also introduces three advanced learning algorithms to optimize the performance of SAFE framework as a whole. Through a series of simulation experiments, we demonstrate that the SAFE framework can effectively and adaptively extract and transmit semantics under different channel bandwidth conditions, of which effectiveness is verified through objective and subjective quality evaluations.

Abstract:This paper focuses on an intelligent reflecting surface (IRS)-assisted lossy communication system with correlated Rayleigh fading. We analyze the correlated channel model and derive the outage probability of the system. Then, we design a deep reinforce learning (DRL) method to optimize the phase shift of IRS, in order to maximize the received signal power. Moreover, this paper presents results of the simulations conducted to evaluate the performance of the DRL-based method. The simulation results indicate that the outage probability of the considered system increases significantly with more correlated channel coefficients. Moreover, the performance gap between DRL and theoretical limit increases with higher transmit power and/or larger distortion requirement.





Abstract:Semantic Communication (SC) is an emerging technology aiming to surpass the Shannon limit. Traditional SC strategies often minimize signal distortion between the original and reconstructed data, neglecting perceptual quality, especially in low Signal-to-Noise Ratio (SNR) environments. To address this issue, we introduce a novel Generative AI Semantic Communication (GSC) system for single-user scenarios. This system leverages deep generative models to establish a new paradigm in SC. Specifically, At the transmitter end, it employs a joint source-channel coding mechanism based on the Swin Transformer for efficient semantic feature extraction and compression. At the receiver end, an advanced Diffusion Model (DM) reconstructs high-quality images from degraded signals, enhancing perceptual details. Additionally, we present a Multi-User Generative Semantic Communication (MU-GSC) system utilizing an asynchronous processing model. This model effectively manages multiple user requests and optimally utilizes system resources for parallel processing. Simulation results on public datasets demonstrate that our generative AI semantic communication systems achieve superior transmission efficiency and enhanced communication content quality across various channel conditions. Compared to CNN-based DeepJSCC, our methods improve the Peak Signal-to-Noise Ratio (PSNR) by 17.75% in Additive White Gaussian Noise (AWGN) channels and by 20.86% in Rayleigh channels.

Abstract:In this paper, we address the problem of image semantic communication in a multi-user deployment scenario and propose a federated learning (FL) strategy for a Swin Transformer-based semantic communication system (FSSC). Firstly, we demonstrate that the adoption of a Swin Transformer for joint source-channel coding (JSCC) effectively extracts semantic information in the communication system. Next, the FL framework is introduced to collaboratively learn a global model by aggregating local model parameters, rather than directly sharing clients' data. This approach enhances user privacy protection and reduces the workload on the server or mobile edge. Simulation evaluations indicate that our method outperforms the typical JSCC algorithm and traditional separate-based communication algorithms. Particularly after integrating local semantics, the global aggregation model has further increased the Peak Signal-to-Noise Ratio (PSNR) by more than 2dB, thoroughly proving the effectiveness of our algorithm.
