



Abstract:Orthogonal time frequency space (OTFS) modulation is widely acknowledged as a prospective waveform for future wireless communication networks.To provide insights for the practical system design, this paper analyzes the outage probability of OTFS modulation with finite blocklength.To begin with, we present the system model and formulate the analysis of outage probability for OTFS with finite blocklength as an equivalent problem of calculating the outage probability with finite blocklength over parallel additive white Gaussian noise (AWGN) channels.Subsequently, we apply the equivalent noise approach to derive a lower bound on the outage probability of OTFS with finite blocklength under both average power allocation and water-filling power allocation strategies, respectively.Finally, the lower bounds of the outage probability are determined using the Monte-Carlo method for the two power allocation strategies.The impact of the number of resolvable paths and coding rates on the outage probability is analyzed, and the simulation results are compared with the theoretical lower bounds.
Abstract:In this paper, performance of a lossy cooperative unmanned aerial vehicle (UAV) relay communication system is analyzed. In this system, the UAV relay adopts lossy forward (LF) strategy and the receiver has certain distortion requirements for the received information. For the system described above, we first derive the achievable rate distortion region of the system. Then, on the basis of the region analysis, the system outage probability when the channel suffers Nakagami-$m$ fading is analyzed. Finally, we design an optimal relay position identification algorithm based on the Soft Actor-Critic (SAC) algorithm, which determines the optimal UAV position to minimize the outage probability. The simulation results show that the proposed algorithm can optimize the UAV position and reduce the system outage probability effectively.




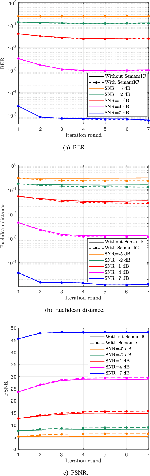
Abstract:This letter proposes a novel anti-interference technique, semantic interference cancellation (SemantIC), for enhancing information quality towards the sixth-generation (6G) wireless networks. SemantIC only requires the receiver to concatenate the channel decoder with a semantic auto-encoder. This constructs a turbo loop which iteratively and alternately eliminates noise in the signal domain and the semantic domain. From the viewpoint of network information theory, the neural network of the semantic auto-encoder stores side information by training, and provides side information in iterative decoding, as an implementation of the Wyner-Ziv theorem. Simulation results verify the performance improvement by SemantIC without extra channel resource cost.




Abstract:This letter proposes a novel relaying framework, semantic-forward (SF), for cooperative communications towards the sixth-generation (6G) wireless networks. The SF relay extracts and transmits the semantic features, which reduces forwarding payload, and also improves the network robustness against intra-link errors. Based on the theoretical basis for cooperative communications with side information and the turbo principle, we design a joint source-channel coding algorithm to iteratively exchange the extrinsic information for enhancing the decoding gains at the destination. Surprisingly, simulation results indicate that even in bad channel conditions, SF relaying can still effectively improve the recovered information quality.