Abstract:This paper investigates neural network-based biometric authentication using finger-drawn digits on touchscreen devices. We evaluated CNN and autoencoder architectures for user authentication through simple digit patterns (0-9) traced with finger input. Twenty participants contributed 2,000 finger-drawn digits each on personal touchscreen devices. We compared two CNN architectures: a modified Inception-V1 network and a lightweight shallow CNN for mobile environments. Additionally, we examined Convolutional and Fully Connected autoencoders for anomaly detection. Both CNN architectures achieved ~89% authentication accuracy, with the shallow CNN requiring fewer parameters. Autoencoder approaches achieved ~75% accuracy. The results demonstrate that finger-drawn symbol authentication provides a viable, secure, and user-friendly biometric solution for touchscreen devices. This approach can be integrated with existing pattern-based authentication methods to create multi-layered security systems for mobile applications.




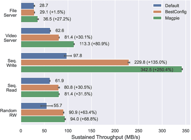
Abstract:Distributed file systems are widely used nowadays, yet using their default configurations is often not optimal. At the same time, tuning configuration parameters is typically challenging and time-consuming. It demands expertise and tuning operations can also be expensive. This is especially the case for static parameters, where changes take effect only after a restart of the system or workloads. We propose a novel approach, Magpie, which utilizes deep reinforcement learning to tune static parameters by strategically exploring and exploiting configuration parameter spaces. To boost the tuning of the static parameters, our method employs both server and client metrics of distributed file systems to understand the relationship between static parameters and performance. Our empirical evaluation results show that Magpie can noticeably improve the performance of the distributed file system Lustre, where our approach on average achieves 91.8% throughput gains against default configuration after tuning towards single performance indicator optimization, while it reaches 39.7% more throughput gains against the baseline.




Abstract:Distributed Stream Processing (DSP) systems enable processing large streams of continuous data to produce results in near to real time. They are an essential part of many data-intensive applications and analytics platforms. The rate at which events arrive at DSP systems can vary considerably over time, which may be due to trends, cyclic, and seasonal patterns within the data streams. A priori knowledge of incoming workloads enables proactive approaches to resource management and optimization tasks such as dynamic scaling, live migration of resources, and the tuning of configuration parameters during run-times, thus leading to a potentially better Quality of Service. In this paper we conduct a comprehensive evaluation of different load prediction techniques for DSP jobs. We identify three use-cases and formulate requirements for making load predictions specific to DSP jobs. Automatically optimized classical and Deep Learning methods are being evaluated on nine different datasets from typical DSP domains, i.e. the IoT, Web 2.0, and cluster monitoring. We compare model performance with respect to overall accuracy and training duration. Our results show that the Deep Learning methods provide the most accurate load predictions for the majority of the evaluated datasets.


Abstract:Cardiovascular diseases and heart failures in particular are the main cause of non-communicable disease mortality in the world. Constant patient monitoring enables better medical treatment as it allows practitioners to react on time and provide the appropriate treatment. Telemedicine can provide constant remote monitoring so patients can stay in their homes, only requiring medical sensing equipment and network connections. A limiting factor for telemedical centers is the amount of patients that can be monitored simultaneously. We aim to increase this amount by implementing a decision support system. This paper investigates a machine learning model to estimate a risk score based on patient vital parameters that allows sorting all cases every day to help practitioners focus their limited capacities on the most severe cases. The model we propose reaches an AUCROC of 0.84, whereas the baseline rule-based model reaches an AUCROC of 0.73. Our results indicate that the usage of deep learning to improve the efficiency of telemedical centers is feasible. This way more patients could benefit from better health-care through remote monitoring.