

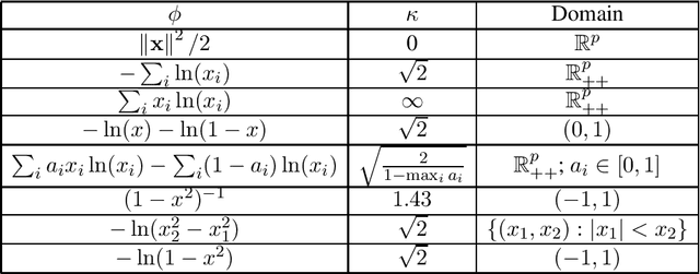
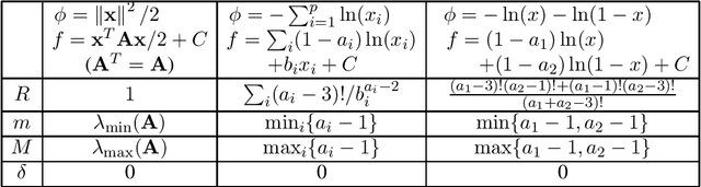
Abstract:Discretized Langevin diffusions are efficient Monte Carlo methods for sampling from high dimensional target densities that are log-Lipschitz-smooth and (strongly) log-concave. In particular, the Euclidean Langevin Monte Carlo sampling algorithm has received much attention lately, leading to a detailed understanding of its non-asymptotic convergence properties and of the role that smoothness and log-concavity play in the convergence rate. Distributions that do not possess these regularity properties can be addressed by considering a Riemannian Langevin diffusion with a metric capturing the local geometry of the log-density. However, the Monte Carlo algorithms derived from discretizations of such Riemannian Langevin diffusions are notoriously difficult to analyze. In this paper, we consider Langevin diffusions on a Hessian-type manifold and study a discretization that is closely related to the mirror-descent scheme. We establish for the first time a non-asymptotic upper-bound on the sampling error of the resulting Hessian Riemannian Langevin Monte Carlo algorithm. This bound is measured according to a Wasserstein distance induced by a Riemannian metric ground cost capturing the Hessian structure and closely related to a self-concordance-like condition. The upper-bound implies, for instance, that the iterates contract toward a Wasserstein ball around the target density whose radius is made explicit. Our theory recovers existing Euclidean results and can cope with a wide variety of Hessian metrics related to highly non-flat geometries.

Abstract:This paper raises an implicit manifold learning perspective in Generative Adversarial Networks (GANs), by studying how the support of the learned distribution, modelled as a submanifold $\mathcal{M}_{\theta}$, perfectly match with $\mathcal{M}_{r}$, the support of the real data distribution. We show that optimizing Jensen-Shannon divergence forces $\mathcal{M}_{\theta}$ to perfectly match with $\mathcal{M}_{r}$, while optimizing Wasserstein distance does not. On the other hand, by comparing the gradients of the Jensen-Shannon divergence and the Wasserstein distances ($W_1$ and $W_2^2$) in their primal forms, we conjecture that Wasserstein $W_2^2$ may enjoy desirable properties such as reduced mode collapse. It is therefore interesting to design new distances that inherit the best from both distances.