



Abstract:Constraint-based applications attempt to identify a solution that meets all defined user requirements. If the requirements are inconsistent with the underlying constraint set, algorithms that compute diagnoses for inconsistent constraints should be implemented to help users resolve the "no solution could be found" dilemma. FastDiag is a typical direct diagnosis algorithm that supports diagnosis calculation without predetermining conflicts. However, this approach faces runtime performance issues, especially when analyzing complex and large-scale knowledge bases. In this paper, we propose a novel algorithm, so-called FastDiagP, which is based on the idea of speculative programming. This algorithm extends FastDiag by integrating a parallelization mechanism that anticipates and pre-calculates consistency checks requested by FastDiag. This mechanism helps to provide consistency checks with fast answers and boosts the algorithm's runtime performance. The performance improvements of our proposed algorithm have been shown through empirical results using the Linux-2.6.3.33 configuration knowledge base.




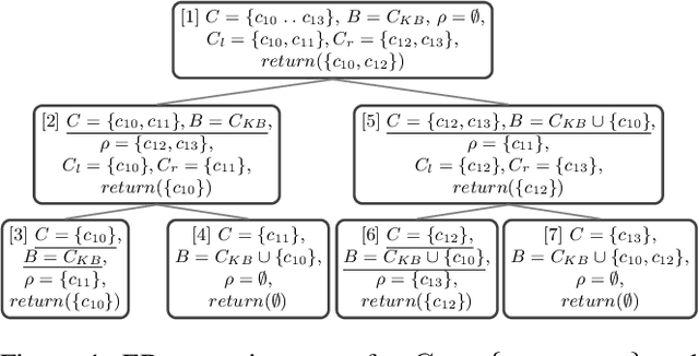
Abstract:Variability models (e.g., feature models) are a common way for the representation of variabilities and commonalities of software artifacts. Such models can be translated to a logical representation and thus allow different operations for quality assurance and other types of model property analysis. Specifically, complex and often large-scale feature models can become faulty, i.e., do not represent the expected variability properties of the underlying software artifact. In this paper, we introduce DirectDebug which is a direct diagnosis approach to the automated testing and debugging of variability models. The algorithm helps software engineers by supporting an automated identification of faulty constraints responsible for an unintended behavior of a variability model. This approach can significantly decrease development and maintenance efforts for such models.