



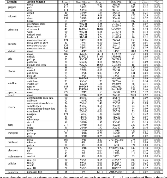
Abstract:This paper introduces a general approach for synthesizing procedural models of the state-transitions of a given discrete system. The approach is general in that it accepts different target languages for modeling the state-transitions of a discrete system; different model acquisition tasks with different target languages, such as the synthesis of STRIPS action models, or the update rule of a cellular automaton, fit as particular instances of our general approach. We follow an inductive approach to synthesis meaning that a set of examples of state-transitions, represented as (pre-state, action, post-state) tuples, are given as input. The goal is to synthesize a structured program that, when executed on a given pre-state, outputs its associated post-state. Our synthesis method implements a combinatorial search in the space of well-structured terminating programs that can be built using a Random-Access Machine (RAM), with a minimalist instruction set, and a finite amount of memory. The combinatorial search is guided with functions that asses the complexity of the candidate programs, as well as their fitness to the given input set of examples.




Abstract:Planning in robotics is often split into task and motion planning. The high-level, symbolic task planner decides what needs to be done, while the motion planner checks feasibility and fills up geometric detail. It is known however that such a decomposition is not effective in general as the symbolic and geometrical components are not independent. In this work, we show that it is possible to compile task and motion planning problems into classical AI planning problems; i.e., planning problems over finite and discrete state spaces with a known initial state, deterministic actions, and goal states to be reached. The compilation is sound, meaning that classical plans are valid robot plans, and probabilistically complete, meaning that valid robot plans are classical plans when a sufficient number of configurations is sampled. In this approach, motion planners and collision checkers are used for the compilation, but not at planning time. The key elements that make the approach effective are 1) expressive classical AI planning languages for representing the compiled problems in compact form, that unlike PDDL make use of functions and state constraints, and 2) general width-based search algorithms capable of finding plans over huge combinatorial spaces using weak heuristics only. Empirical results are presented for a PR2 robot manipulating tens of objects, for which long plans are required.