Abstract:5G systems are being deployed all over the world and one key enabler of these systems is massive multiple-input multiple-output (MIMO). This technology has brought large performance gains in terms of serving many users. Despite the possibility to further exploit the spatial domain, there are situations where it is not possible to offer more than a single, or a few, data streams per user and where cell-edge coverage is an issue due to the lack of enough efficient channel scatterers. Looking ahead, distributed MIMO systems, where the antennas are spread over a larger area, are investigated for next generation systems. However, distributed MIMO comes with many practical deployment issues, making it a big challenge to adopt. As another way forward, we envision repeater-assisted cellular massive MIMO, where repeaters are deployed to act as channel scatterers to increase the rank of the channel and provide macro diversity for improved coverage and reliability. After elaborating on the requirements and hardware aspects of repeaters that enable this vision, we demonstrate through simulations the potential of repeater-assisted cellular massive MIMO to achieve distributed MIMO performance. Following this, we discuss open questions and future research directions.
Abstract:We present a reciprocity calibration method for dual-antenna repeaters in wireless networks. The method uses bi-directional measurements between two network nodes, A and B, where for each bi-directional measurement, the repeaters are configured in different states. The nodes A and B could be two access points in a distributed MIMO system, or they could be a base station and a mobile user terminal, for example. From the calibration measurements, the differences between the repeaters' forward and reverse gains are estimated. The repeaters are then (re-)configured to compensate for these differences such that the repeaters appear, transparently to the network, as reciprocal components of the propagation environment, enabling reciprocity-based beamforming in the network.

Abstract:Reconfigurable surface (RS) has been shown to be an effective solution for improving wireless communication links in general multi-user multiple-input multiple-output (MU-MIMO) setting. Current research efforts have been largely directed towards the study of reconfigurable intelligent surface (RIS), which corresponds to an RS made of passive reconfigurable elements with only phase shifting capabilities. RIS constitutes a cost- and energy- efficient solution for increased beamforming gain since it allows to generate constructive interference towards desired directions, e.g., towards a base station (BS). However, in many situations, multiplexing gain may have greater impact on the achievable transmission rates and number of simultaneously connected devices, while RIS has only been able to achieve minor improvements in this aspect. Recent work has proposed the use of alternative RS technologies, namely amplitude-reconfigurable intelligent surface (ARIS) and fully-reconfigurable intelligent surface (FRIS), to achieve perfect orthogonalization of MU-MIMO channels, thus allowing for maximum multiplexing gain at reduced complexity. In this work we consider the use of ARIS and FRIS for simultaneously orthogonalizing a MU-MIMO channel, while embedding extra information in the orthogonalized channel. We show that the resulting achievable rates allow for full exploitation of the degrees of freedom in a MU-MIMO system with excess of BS antennas.




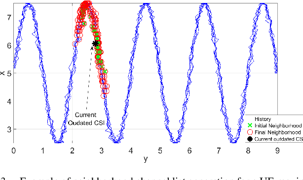
Abstract:We consider a robust beamforming problem where large amount of downlink (DL) channel state information (CSI) data available at a multiple antenna access point (AP) is used to improve the link quality to a user equipment (UE) for beyond-5G and 6G applications such as environment-specific initial access (IA) or wireless power transfer (WPT). As the DL CSI available at the current instant may be imperfect or outdated, we propose a novel scheme which utilizes the (unknown) correlation between the antenna domain and physical domain to localize the possible future UE positions from the historical CSI database. Then, we develop a codebook design procedure to maximize the minimum sum beamforming gain to that localized CSI neighborhood. We also incorporate a UE specific parameter to enlarge the neighborhood to robustify the link further. We adopt an indoor channel model to demonstrate the performance of our solution, and benchmark against a usually optimal (but now sub-optimal due to outdated CSI) maximum ratio transmission (MRT) and a subspace based method.We numerically show that our algorithm outperforms the other methods by a large margin. This shows that customized environment-specific solutions are important to solve many future wireless applications, and we have paved the way to develop further data-driven approaches.
Abstract:Backscatter communication (BSC) is a promising solution for Internet-of-Things (IoT) connections due to its low-complexity, low-cost, and energy-efficient solution for sensors. There are several network infrastructure setups that can be used for BSC with IoT nodes/passive devices. One of them is a bistatic setup where there is a need for high dynamic range and high-resolution analog-to-digital converters at the reader side. In this paper, we investigate a bistatic BSC setup with multiple antennas. We propose a novel algorithm to suppress direct link interference between the carrier emitter (CE) and the reader using beamforming into the nullspace of the CE-reader direct link to decrease the dynamic range of the system and increase the detection performance of the backscatter device (BSD). Further, we derive a Neyman-Pearson (NP) test and an exact closed-form expression for its performance in the detection of the BSD. Finally, simulation results show that the dynamic range of the system is significantly decreased and the detection performance of the BSD is increased by the proposed algorithm compared to a system not using beamforming in the CE, which could then be used in a host of different practical fields such as agriculture, transportation, factories, hospitals, smart cities, and smart homes.
Abstract:Backscatter communication (BC) is a promising technique for future Internet-of-Things (IoT) owing to its low complexity, low cost, and potential for energy-efficient operation in sensor networks. There are several network infrastructure setups that can be used for BC with IoT nodes. One of them is the bistatic setup where typically there is a need for high dynamic range and high-resolution analog-to-digital converters at the reader. In this paper, we investigate a bistatic BC setup with multiple antennas. We propose a novel transmission scheme, which includes a protocol for channel estimation at the carrier emitter (CE) as well as a transmit beamformer construction that suppresses the direct link interference between the two ends of a bistatic link (namely CE and reader), and increases the detection performance of the backscatter device (BD) symbol. Further, we derive a generalized log-likelihood ratio test (GLRT) to detect the symbol/presence of the BD. We also provide an iterative algorithm to estimate the unknown parameters in the GLRT. Finally, simulation results show that the required dynamic range of the system is significantly decreased, and the detection performance of the BD symbol is increased, by the proposed algorithm compared to a system not using beamforming at the CE.
Abstract:Antenna arrays can be either reciprocity calibrated (R-calibrated), which facilitates reciprocity-based beamforming, or fully calibrated (F-calibrated), which additionally facilitates transmission and reception in specific physical directions. We first expose, to provide context, the fundamental principles of over-the-air R- and F-calibration of distributed arrays. We then describe a new method for calibration of two arrays that are individually F-calibrated, such that the combined array becomes jointly F-calibrated.



Abstract:This paper provides an initial investigation on the application of convolutional neural networks (CNNs) for fingerprint-based positioning using measured massive MIMO channels. When represented in appropriate domains, massive MIMO channels have a sparse structure which can be efficiently learned by CNNs for positioning purposes. We evaluate the positioning accuracy of state-of-the-art CNNs with channel fingerprints generated from a channel model with a rich clustered structure: the COST 2100 channel model. We find that moderately deep CNNs can achieve fractional-wavelength positioning accuracies, provided that an enough representative data set is available for training.