



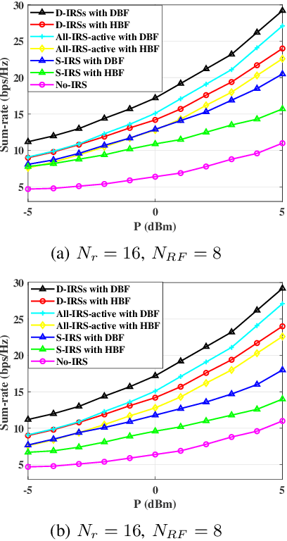
Abstract:In this paper, we focus on the sum-rate optimization in a multi-user millimeter-wave (mmWave) system with distributed intelligent reflecting surfaces (D-IRSs), where a base station (BS) communicates with users via multiple IRSs. The BS transmit beamforming, IRS switch vector, and phase shifts of the IRS are jointly optimized to maximize the sum-rate under minimum user rate, unit-modulus, and transmit power constraints. To solve the resulting non-convex optimization problem, we develop an efficient alternating optimization (AO) algorithm. Specifically, the non-convex problem is converted into three subproblems, which are solved alternatively. The solution to transmit beamforming at the BS and the phase shifts at the IRS are derived by using the successive convex approximation (SCA)-based algorithm, and a greedy algorithm is proposed to design the IRS switch vector. The complexity of the proposed AO algorithm is analyzed theoretically. Numerical results show that the D-IRSs-aided scheme can significantly improve the sum-rate and energy efficiency performance.




Abstract:The goal of the ranking problem in networks is to rank nodes from best to worst, according to a chosen criterion. In this work, we focus on ranking the nodes according to their quality. The problem of ranking the nodes in bipartite networks is valuable for many real-world applications. For instance, high-quality products can be promoted on an online shop or highly reputed restaurants attract more people on venues review platforms. However, many classical ranking algorithms share a common drawback: they tend to rank older movies higher than newer movies, though some newer movies may have a high quality. This time bias originates from the fact that older nodes in a network tend to have more connections than newer ones. In the study, we develop a ranking method using a rebalance approach to diminish the time bias of the rankings in bipartite graphs.