



Abstract:We propose two new survival forests for survival data with time-varying covariates. They are generalizations of random survival forest and conditional inference forest -- the traditional survival forests for right-censored data with time-invariant covariates. We investigate the properties of these new forests, as well as that of the recently-proposed transformation forest, and compare their performances with that of the Cox model via a comprehensive simulation study. In particular, the simulations compare the performance of the forests when all changes in the covariates' values are known with the case when not all changes are known. We also study the forests under the proportional hazards setting as well as the non-proportional hazards setting, where the forests based on log-rank splitting tend to perform worse than does the transformation forest. We then provide guidance for choosing among the modeling methods. Finally, we show that the performance of the survival forests for time-invariant covariate data is broadly similar to that found for time-varying covariate data.





Abstract:The Lasso is a computationally efficient regression regularization procedure that can produce sparse estimators when the number of predictors (p) is large. Oracle inequalities provide probability loss bounds for the Lasso estimator at a deterministic choice of the regularization parameter. These bounds tend to zero if p is appropriately controlled, and are thus commonly cited as theoretical justification for the Lasso and its ability to handle high-dimensional settings. Unfortunately, in practice the regularization parameter is not selected to be a deterministic quantity, but is instead chosen using a random, data-dependent procedure. To address this shortcoming of previous theoretical work, we study the loss of the Lasso estimator when tuned optimally for prediction. Assuming orthonormal predictors and a sparse true model, we prove that the probability that the best possible predictive performance of the Lasso deteriorates as p increases is positive and can be arbitrarily close to one given a sufficiently high signal to noise ratio and sufficiently large p. We further demonstrate empirically that the amount of deterioration in performance can be far worse than the oracle inequalities suggest and provide a real data example where deterioration is observed.





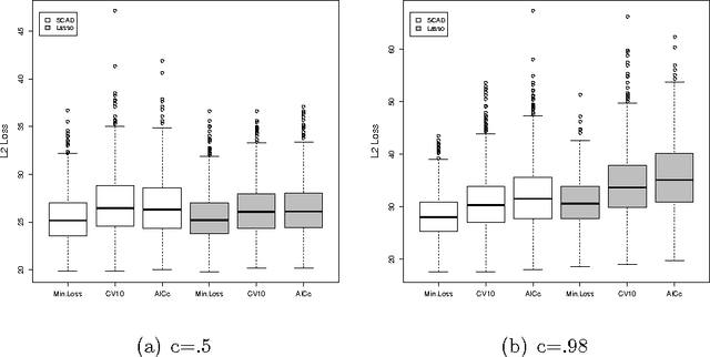
Abstract:It has been shown that AIC-type criteria are asymptotically efficient selectors of the tuning parameter in non-concave penalized regression methods under the assumption that the population variance is known or that a consistent estimator is available. We relax this assumption to prove that AIC itself is asymptotically efficient and we study its performance in finite samples. In classical regression, it is known that AIC tends to select overly complex models when the dimension of the maximum candidate model is large relative to the sample size. Simulation studies suggest that AIC suffers from the same shortcomings when used in penalized regression. We therefore propose the use of the classical corrected AIC (AICc) as an alternative and prove that it maintains the desired asymptotic properties. To broaden our results, we further prove the efficiency of AIC for penalized likelihood methods in the context of generalized linear models with no dispersion parameter. Similar results exist in the literature but only for a restricted set of candidate models. By employing results from the classical literature on maximum-likelihood estimation in misspecified models, we are able to establish this result for a general set of candidate models. We use simulations to assess the performance of AIC and AICc, as well as that of other selectors, in finite samples for both SCAD-penalized and Lasso regressions and a real data example is considered.
