Abstract:Natural language processing (NLP) enables the understanding and generation of meaningful human language, typically using a pre-trained complex architecture on a large dataset to learn the language and next fine-tune its weights to implement a specific task. Twofold goals are examined; to understand the mechanism underlying successful pre-training and to determine the interplay between the pre-training accuracy and the fine-tuning of classification tasks. The following main results were obtained; the accuracy per token (APT) increased with its appearance frequency in the dataset, and its average over all tokens served as an order parameter to quantify pre-training success, which increased along the transformer blocks. Pre-training broke the symmetry among tokens and grouped them into finite, small, strong match token clusters, as inferred from the presented token confusion matrix. This feature was sharpened along the transformer blocks toward the output layer, enhancing its performance considerably compared with that of the embedding layer. Consequently, higher-order language structures were generated by pre-training, even though the learning cost function was directed solely at identifying a single token. These pre-training findings were reflected by the improved fine-tuning accuracy along the transformer blocks. Additionally, the output label prediction confidence was found to be independent of the average input APT, as the input meaning was preserved since the tokens are replaced primarily by strong match tokens. Finally, although pre-training is commonly absent in image classification tasks, its underlying mechanism is similar to that used in fine-tuning NLP classification tasks, hinting at its universality. The results were based on the BERT-6 architecture pre-trained on the Wikipedia dataset and fine-tuned on the FewRel and DBpedia classification tasks.




Abstract:Significant variations of delays among connecting neurons cause an inevitable disadvantage of asynchronous brain dynamics compared to synchronous deep learning. However, this study demonstrates that this disadvantage can be converted into a computational advantage using a network with a single output and M multiple delays between successive layers, thereby generating a polynomial time-series outputs with M. The proposed role of delay in brain dynamics (RoDiB) model, is capable of learning increasing number of classified labels using a fixed architecture, and overcomes the inflexibility of the brain to update the learning architecture using additional neurons and connections. Moreover, the achievable accuracies of the RoDiB system are comparable with those of its counterpart tunable single delay architectures with M outputs. Further, the accuracies are significantly enhanced when the number of output labels exceeds its fully connected input size. The results are mainly obtained using simulations of VGG-6 on CIFAR datasets and also include multiple label inputs. However, currently only a small fraction of the abundant number of RoDiB outputs is utilized, thereby suggesting its potential for advanced computational power yet to be discovered.
Abstract:An underlying mechanism for successful deep learning (DL) with a limited deep architecture and dataset, namely VGG-16 on CIFAR-10, was recently presented based on a quantitative method to measure the quality of a single filter in each layer. In this method, each filter identifies small clusters of possible output labels, with additional noise selected as labels out of the clusters. This feature is progressively sharpened with the layers, resulting in an enhanced signal-to-noise ratio (SNR) and higher accuracy. In this study, the suggested universal mechanism is verified for VGG-16 and EfficientNet-B0 trained on the CIFAR-100 and ImageNet datasets with the following main results. First, the accuracy progressively increases with the layers, whereas the noise per filter typically progressively decreases. Second, for a given deep architecture, the maximal error rate increases approximately linearly with the number of output labels. Third, the average filter cluster size and the number of clusters per filter at the last convolutional layer adjacent to the output layer are almost independent of the number of dataset labels in the range [3, 1,000], while a high SNR is preserved. The presented DL mechanism suggests several techniques, such as applying filter's cluster connections (AFCC), to improve the computational complexity and accuracy of deep architectures and furthermore pinpoints the simplification of pre-existing structures while maintaining their accuracies.




Abstract:We study bi-directional associative neural networks that, exposed to noisy examples of an extensive number of random archetypes, learn the latter (with or without the presence of a teacher) when the supplied information is enough: in this setting, learning is heteroassociative -- involving couples of patterns -- and it is achieved by reverberating the information depicted from the examples through the layers of the network. By adapting Guerra's interpolation technique, we provide a full statistical mechanical picture of supervised and unsupervised learning processes (at the replica symmetric level of description) obtaining analytically phase diagrams, thresholds for learning, a picture of the ground-state in plain agreement with Monte Carlo simulations and signal-to-noise outcomes. In the large dataset limit, the Kosko storage prescription as well as its statistical mechanical picture provided by Kurchan, Peliti, and Saber in the eighties is fully recovered. Computational advantages in dealing with information reverberation, rather than storage, are discussed for natural test cases. In particular, we show how this network admits an integral representation in terms of two coupled restricted Boltzmann machines, whose hidden layers are entirely built of by grand-mother neurons, to prove that by coupling solely these grand-mother neurons we can correlate the patterns they are related to: it is thus possible to recover Pavlov's Classical Conditioning by adding just one synapse among the correct grand-mother neurons (hence saving an extensive number of these links for further information storage w.r.t. the classical autoassociative setting).




Abstract:Deep architectures consist of tens or hundreds of convolutional layers (CLs) that terminate with a few fully connected (FC) layers and an output layer representing the possible labels of a complex classification task. According to the existing deep learning (DL) rationale, the first CL reveals localized features from the raw data, whereas the subsequent layers progressively extract higher-level features required for refined classification. This article presents an efficient three-phase procedure for quantifying the mechanism underlying successful DL. First, a deep architecture is trained to maximize the success rate (SR). Next, the weights of the first several CLs are fixed and only the concatenated new FC layer connected to the output is trained, resulting in SRs that progress with the layers. Finally, the trained FC weights are silenced, except for those emerging from a single filter, enabling the quantification of the functionality of this filter using a correlation matrix between input labels and averaged output fields, hence a well-defined set of quantifiable features is obtained. Each filter essentially selects a single output label independent of the input label, which seems to prevent high SRs; however, it counterintuitively identifies a small subset of possible output labels. This feature is an essential part of the underlying DL mechanism and is progressively sharpened with layers, resulting in enhanced signal-to-noise ratios and SRs. Quantitatively, this mechanism is exemplified by the VGG-16, VGG-6, and AVGG-16. The proposed mechanism underlying DL provides an accurate tool for identifying each filter's quality and is expected to direct additional procedures to improve the SR, computational complexity, and latency of DL.
Abstract:Learning classification tasks of (2^nx2^n) inputs typically consist of \le n (2x2) max-pooling (MP) operators along the entire feedforward deep architecture. Here we show, using the CIFAR-10 database, that pooling decisions adjacent to the last convolutional layer significantly enhance accuracy success rates (SRs). In particular, average SRs of the advanced VGG with m layers (A-VGGm) architectures are 0.936, 0.940, 0.954, 0.955, and 0.955 for m=6, 8, 14, 13, and 16, respectively. The results indicate A-VGG8s' SR is superior to VGG16s', and that the SRs of A-VGG13 and A-VGG16 are equal, and comparable to that of Wide-ResNet16. In addition, replacing the three fully connected (FC) layers with one FC layer, A-VGG6 and A-VGG14, or with several linear activation FC layers, yielded similar SRs. These significantly enhanced SRs stem from training the most influential input-output routes, in comparison to the inferior routes selected following multiple MP decisions along the deep architecture. In addition, SRs are sensitive to the order of the non-commutative MP and average pooling operators adjacent to the output layer, varying the number and location of training routes. The results call for the reexamination of previously proposed deep architectures and their SRs by utilizing the proposed pooling strategy adjacent to the output layer.
Abstract:Advanced deep learning architectures consist of tens of fully connected and convolutional hidden layers, which are already extended to hundreds, and are far from their biological realization. Their implausible biological dynamics is based on changing a weight in a non-local manner, as the number of routes between an output unit and a weight is typically large, using the backpropagation technique. Here, offline and online CIFAR-10 database learning on 3-layer tree architectures, inspired by experimental-based dendritic tree adaptations, outperforms the achievable success rates of the 5-layer convolutional LeNet. Its highly pruning tree backpropagation procedure, where a single route connects an output unit and a weight, represents an efficient dendritic deep learning.
Abstract:The realization of complex classification tasks requires training of deep learning (DL) architectures consisting of tens or even hundreds of convolutional and fully connected hidden layers, which is far from the reality of the human brain. According to the DL rationale, the first convolutional layer reveals localized patterns in the input and large-scale patterns in the following layers, until it reliably characterizes a class of inputs. Here, we demonstrate that with a fixed ratio between the depths of the first and second convolutional layers, the error rates of the generalized shallow LeNet architecture, consisting of only five layers, decay as a power law with the number of filters in the first convolutional layer. The extrapolation of this power law indicates that the generalized LeNet can achieve small error rates that were previously obtained for the CIFAR-10 database using DL architectures. A power law with a similar exponent also characterizes the generalized VGG-16 architecture. However, this results in a significantly increased number of operations required to achieve a given error rate with respect to LeNet. This power law phenomenon governs various generalized LeNet and VGG-16 architectures, hinting at its universal behavior and suggesting a quantitative hierarchical time-space complexity among machine learning architectures. Additionally, the conservation law along the convolutional layers, which is the square-root of their size times their depth, is found to asymptotically minimize error rates. The efficient shallow learning that is demonstrated in this study calls for further quantitative examination using various databases and architectures and its accelerated implementation using future dedicated hardware developments.
Abstract:Power-law scaling, a central concept in critical phenomena, is found to be useful in deep learning, where optimized test errors on handwritten digit examples converge as a power-law to zero with database size. For rapid decision making with one training epoch, each example is presented only once to the trained network, the power-law exponent increased with the number of hidden layers. For the largest dataset, the obtained test error was estimated to be in the proximity of state-of-the-art algorithms for large epoch numbers. Power-law scaling assists with key challenges found in current artificial intelligence applications and facilitates an a priori dataset size estimation to achieve a desired test accuracy. It establishes a benchmark for measuring training complexity and a quantitative hierarchy of machine learning tasks and algorithms.




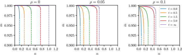
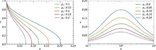
Abstract:The gap between the huge volumes of data needed to train artificial neural networks and the relatively small amount of data needed by their biological counterparts is a central puzzle in machine learning. Here, inspired by biological information-processing, we introduce a generalized Hopfield network where pairwise couplings between neurons are built according to Hebb's prescription for on-line learning and allow also for (suitably stylized) off-line sleeping mechanisms. Moreover, in order to retain a learning framework, here the patterns are not assumed to be available, instead, we let the network experience solely a dataset made of a sample of noisy examples for each pattern. We analyze the model by statistical-mechanics tools and we obtain a quantitative picture of its capabilities as functions of its control parameters: the resulting network is an associative memory for pattern recognition that learns from examples on-line, generalizes and optimizes its storage capacity by off-line sleeping. Remarkably, the sleeping mechanisms always significantly reduce (up to $\approx 90\%$) the dataset size required to correctly generalize, further, there are memory loads that are prohibitive to Hebbian networks without sleeping (no matter the size and quality of the provided examples), but that are easily handled by the present "rested" neural networks.