Abstract:The use of ML in cybersecurity has long been impaired by generalization issues: Models that work well in controlled scenarios fail to maintain performance in production. The root cause often lies in ML algorithms learning superficial patterns (shortcuts) rather than underlying cybersecurity concepts. We investigate contrastive multi-modal learning as a first step towards improving ML performance in cybersecurity tasks. We aim at transferring knowledge from data-rich modalities, such as text, to data-scarce modalities, such as payloads. We set up a case study on threat classification and propose a two-stage multi-modal contrastive learning framework that uses textual vulnerability descriptions to guide payload classification. First, we construct a semantically meaningful embedding space using contrastive learning on descriptions. Then, we align payloads to this space, transferring knowledge from text to payloads. We evaluate the approach on a large-scale private dataset and a synthetic benchmark built from public CVE descriptions and LLM-generated payloads. The methodology appears to reduce shortcut learning over baselines on both benchmarks. We release our synthetic benchmark and source code as open source.
Abstract:Honeypots are deception systems that emulate vulnerable services to collect threat intelligence. While deploying many honeypots increases the opportunity to observe attacker behaviour, in practise network and computational resources limit the number of honeypots that can be exposed. Hence, practitioners must select the assets to deploy, a decision that is typically made statically despite attackers' tactics evolving over time. This work investigates an AI-driven agentic architecture that autonomously manages honeypot exposure in response to ongoing attacks. The proposed agent analyses Intrusion Detection System (IDS) alerts and network state to infer the progression of the attack, identify compromised assets, and predict likely attacker targets. Based on this assessment, the agent dynamically reconfigures the system to maintain attacker engagement while minimizing unnecessary exposure. The approach is evaluated in a simulated environment where attackers execute Proof-of-Concept exploits for known CVEs. Preliminary results indicate that the agent can effectively infer the intent of the attacker and improve the efficiency of exposure under resource constraints
Abstract:System logs represent a valuable source of Cyber Threat Intelligence (CTI), capturing attacker behaviors, exploited vulnerabilities, and traces of malicious activity. Yet their utility is often limited by lack of structure, semantic inconsistency, and fragmentation across devices and sessions. Extracting actionable CTI from logs therefore requires approaches that can reconcile noisy, heterogeneous data into coherent and interoperable representations. We introduce OntoLogX, an autonomous Artificial Intelligence (AI) agent that leverages Large Language Models (LLMs) to transform raw logs into ontology-grounded Knowledge Graphs (KGs). OntoLogX integrates a lightweight log ontology with Retrieval Augmented Generation (RAG) and iterative correction steps, ensuring that generated KGs are syntactically and semantically valid. Beyond event-level analysis, the system aggregates KGs into sessions and employs a LLM to predict MITRE ATT&CK tactics, linking low-level log evidence to higher-level adversarial objectives. We evaluate OntoLogX on both logs from a public benchmark and a real-world honeypot dataset, demonstrating robust KG generation across multiple KGs backends and accurate mapping of adversarial activity to ATT&CK tactics. Results highlight the benefits of retrieval and correction for precision and recall, the effectiveness of code-oriented models in structured log analysis, and the value of ontology-grounded representations for actionable CTI extraction.




Abstract:Generative AI agents, software systems powered by Large Language Models (LLMs), are emerging as a promising approach to automate cybersecurity tasks. Among the others, penetration testing is a challenging field due to the task complexity and the diverse strategies to simulate cyber-attacks. Despite growing interest and initial studies in automating penetration testing with generative agents, there remains a significant gap in the form of a comprehensive and standard framework for their evaluation and development. This paper introduces AutoPenBench, an open benchmark for evaluating generative agents in automated penetration testing. We present a comprehensive framework that includes 33 tasks, each representing a vulnerable system that the agent has to attack. Tasks are of increasing difficulty levels, including in-vitro and real-world scenarios. We assess the agent performance with generic and specific milestones that allow us to compare results in a standardised manner and understand the limits of the agent under test. We show the benefits of AutoPenBench by testing two agent architectures: a fully autonomous and a semi-autonomous supporting human interaction. We compare their performance and limitations. For example, the fully autonomous agent performs unsatisfactorily achieving a 21% Success Rate (SR) across the benchmark, solving 27% of the simple tasks and only one real-world task. In contrast, the assisted agent demonstrates substantial improvements, with 64% of SR. AutoPenBench allows us also to observe how different LLMs like GPT-4o or OpenAI o1 impact the ability of the agents to complete the tasks. We believe that our benchmark fills the gap with a standard and flexible framework to compare penetration testing agents on a common ground. We hope to extend AutoPenBench along with the research community by making it available under https://github.com/lucagioacchini/auto-pen-bench.




Abstract:Network traffic analysis is fundamental for network management, troubleshooting, and security. Tasks such as traffic classification, anomaly detection, and novelty discovery are fundamental for extracting operational information from network data and measurements. We witness the shift from deep packet inspection and basic machine learning to Deep Learning (DL) approaches where researchers define and test a custom DL architecture designed for each specific problem. We here advocate the need for a general DL architecture flexible enough to solve different traffic analysis tasks. We test this idea by proposing a DL architecture based on generic data adaptation modules, followed by an integration module that summarises the extracted information into a compact and rich intermediate representation (i.e. embeddings). The result is a flexible Multi-modal Autoencoder (MAE) pipeline that can solve different use cases. We demonstrate the architecture with traffic classification (TC) tasks since they allow us to quantitatively compare results with state-of-the-art solutions. However, we argue that the MAE architecture is generic and can be used to learn representations useful in multiple scenarios. On TC, the MAE performs on par or better than alternatives while avoiding cumbersome feature engineering, thus streamlining the adoption of DL solutions for traffic analysis.




Abstract:Sound-squatting is a phishing attack that tricks users into malicious resources by exploiting similarities in the pronunciation of words. Proactive defense against sound-squatting candidates is complex, and existing solutions rely on manually curated lists of homophones. We here introduce Sound-skwatter, a multi-language AI-based system that generates sound-squatting candidates for proactive defense. Sound-skwatter relies on an innovative multi-modal combination of Transformers Networks and acoustic models to learn sound similarities. We show that Sound-skwatter can automatically list known homophones and thousands of high-quality candidates. In addition, it covers cross-language sound-squatting, i.e., when the reader and the listener speak different languages, supporting any combination of languages. We apply Sound-skwatter to network-centric phishing via squatted domain names. We find ~ 10% of the generated domains exist in the wild, the vast majority unknown to protection solutions. Next, we show attacks on the PyPI package manager, where ~ 17% of the popular packages have at least one existing candidate. We believe Sound-skwatter is a crucial asset to mitigate the sound-squatting phenomenon proactively on the Internet. To increase its impact, we publish an online demo and release our models and code as open source.




Abstract:The collection of security-related logs holds the key to understanding attack behaviors and diagnosing vulnerabilities. Still, their analysis remains a daunting challenge. Recently, Language Models (LMs) have demonstrated unmatched potential in understanding natural and programming languages. The question arises whether and how LMs could be also useful for security experts since their logs contain intrinsically confused and obfuscated information. In this paper, we systematically study how to benefit from the state-of-the-art in LM to automatically analyze text-like Unix shell attack logs. We present a thorough design methodology that leads to LogPr\'ecis. It receives as input raw shell sessions and automatically identifies and assigns the attacker tactic to each portion of the session, i.e., unveiling the sequence of the attacker's goals. We demonstrate LogPr\'ecis capability to support the analysis of two large datasets containing about 400,000 unique Unix shell attacks. LogPr\'ecis reduces them into about 3,000 fingerprints, each grouping sessions with the same sequence of tactics. The abstraction it provides lets the analyst better understand attacks, identify fingerprints, detect novelty, link similar attacks, and track families and mutations. Overall, LogPr\'ecis, released as open source, paves the way for better and more responsive defense against cyberattacks.




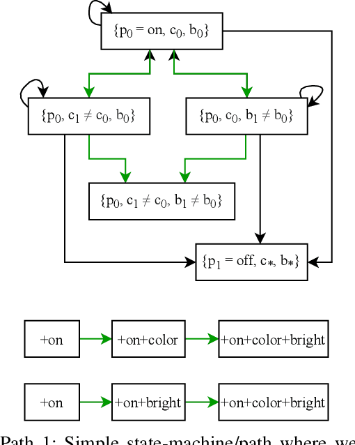
Abstract:Our life is getting filled by Internet of Things (IoT) devices. These devices often rely on closed or poorly documented protocols, with unknown formats and semantics. Learning how to interact with such devices in an autonomous manner is the key for interoperability and automatic verification of their capabilities. In this paper, we propose RL-IoT, a system that explores how to automatically interact with possibly unknown IoT devices. We leverage reinforcement learning (RL) to recover the semantics of protocol messages and to take control of the device to reach a given goal, while minimizing the number of interactions. We assume to know only a database of possible IoT protocol messages, whose semantics are however unknown. RL-IoT exchanges messages with the target IoT device, learning those commands that are useful to reach the given goal. Our results show that RL-IoT is able to solve both simple and complex tasks. With properly tuned parameters, RL-IoT learns how to perform actions with the target device, a Yeelight smart bulb in our case study, completing non-trivial patterns with as few as 400 interactions. RL-IoT paves the road for automatic interactions with poorly documented IoT protocols, thus enabling interoperable systems.