



Abstract:Convolutional neural networks (CNNs) are usually used as a backbone to design methods in biomedical image segmentation. However, the limitation of receptive field and large number of parameters limit the performance of these methods. In this paper, we propose a graph neural network (GNN) based method named GNN-SEG for the segmentation of brain tissues. Different to conventional CNN based methods, GNN-SEG takes superpixels as basic processing units and uses GNNs to learn the structure of brain tissues. Besides, inspired by the interaction mechanism in biological vision systems, we propose two kinds of interaction modules for feature enhancement and integration. In the experiments, we compared GNN-SEG with state-of-the-art CNN based methods on four datasets of brain magnetic resonance images. The experimental results show the superiority of GNN-SEG.




Abstract:Superpixel is widely used in image processing. And among the methods for superpixel generation, clustering-based methods have a high speed and a good performance at the same time. However, most clustering-based superpixel methods are sensitive to noise. To solve these problems, in this paper, we first analyze the features of noise. Then according to the statistical features of noise, we propose a novel centroid updating approach to enhance the robustness of the clustering-based superpixel methods. Besides, we propose a novel superpixel based edge detection method. The experiments on BSD500 dataset show that our approach can significantly enhance the performance of clustering-based superpixel methods in noisy environment. Moreover, we also show that our proposed edge detection method outperforms other classical methods.




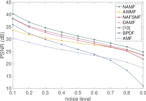
Abstract:In this paper, a non-local adaptive mean filter (NAMF) is proposed, which can eliminate all levels of salt-and-pepper (SAP) noise. NAMF can be divided into two stages: (1) SAP noise detection; (2) SAP noise elimination. For a given pixel, firstly, we compare it with the maximum or minimum gray value of the noisy image, if it equals then we use a window with adaptive size to further determine whether it is noisy, and the noiseless pixel will be left. Secondly, the noisy pixel will be replaced by the combination of its neighboring pixels. And finally we use a SAP noise based non-local mean filter to further restore it. Our experimental results show that NAMF outperforms state-of-the-art methods in terms of quality for restoring image at all SAP noise levels.