



Abstract:In this paper, we propose a two-bit reconfigurable intelligent surface (RIS)-aided communication system, which mainly consists of a two-bit RIS, a transmitter and a receiver. A corresponding prototype verification system is designed to perform experimental tests in practical environments. The carrier frequency is set as 3.5GHz, and the RIS array possesses 256 units, each of which adopts two-bit phase quantization. In particular, we adopt a self-developed broadband intelligent communication system 40MHz-Net (BICT-40N) terminal in order to fully acquire the channel information. The terminal mainly includes a baseband board and a radio frequency (RF) front-end board, where the latter can achieve 26 dB transmitting link gain and 33 dB receiving link gain. The orthogonal frequency division multiplexing (OFDM) signal is used for the terminal, where the bandwidth is 40MHz and the subcarrier spacing is 625KHz. Also, the terminal supports a series of modulation modes, including QPSK, QAM, etc.Through experimental tests, we validate a few functions and properties of the RIS as follows. First, we validate a novel RIS power consumption model, which considers both the static and the dynamic power consumption. Besides, we demonstrate the existence of the imaging interference and find that two-bit RIS can lower the imaging interference about 10 dBm. Moreover, we verify that the RIS can outperform the metal plate in terms of the beam focusing performance. In addition, we find that the RIS has the ability to improve the channel stationarity. Then, we realize the multi-beam reflection of the RIS utilizing the pattern addition (PA) algorithm. Lastly, we validate the existence of the mutual coupling between different RIS units.




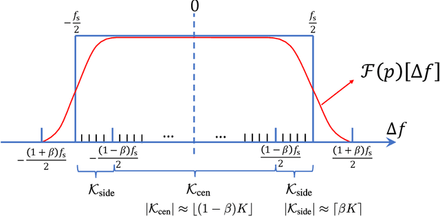
Abstract:Low overhead channel estimation based on compressive sensing (CS) has been widely investigated for hybrid wideband millimeter wave (mmWave) multiple-input multiple-output (MIMO) systems. The channel sparsifying dictionaries used in prior work are built from ideal array response vectors evaluated on discrete angles of arrival/departure. In addition, these dictionaries are assumed to be the same for all subcarriers, without considering the impacts of hardware impairments and beam squint. In this manuscript, we derive a general channel and signal model that explicitly incorporates the impacts of hardware impairments, practical pulse shaping functions, and beam squint, overcoming the limitations of mmWave MIMO channel and signal models commonly used in previous work. Then, we propose a dictionary learning (DL) algorithm to obtain the sparsifying dictionaries embedding hardware impairments, by considering the effect of beam squint without introducing it into the learning process. We also design a novel CS channel estimation algorithm under beam squint and hardware impairments, where the channel structures at different subcarriers are exploited to enable channel parameter estimation with low complexity and high accuracy. Numerical results demonstrate the effectiveness of the proposed DL and channel estimation strategy when applied to realistic mmWave channels.