Abstract:In this paper, we propose a maneuverablejamming-aided secure communication and sensing (SCS) scheme for an air-to-ground integrated sensing and communication (A2G-ISAC) system, where a dual-functional source UAV and a maneuverable jamming UAV operate collaboratively in a hybrid monostatic-bistatic radar configuration. The maneuverable jamming UAV emits artificial noise to assist the source UAV in detecting multiple ground targets while interfering with an eavesdropper. The effects of residual interference caused by imperfect successive interference cancellation on the received signal-to-interference-plus-noise ratio are considered, which degrades the system performance. To maximize the average secrecy rate (ASR) under transmit power budget, UAV maneuvering constraints, and sensing requirements, the dual-UAV trajectory and beamforming are jointly optimized. Given that secure communication and sensing fundamentally conflict in terms of resource allocation, making it difficult to achieve optimal performance for both simultaneously, we adopt a two-phase design to address this challenge. By dividing the mission into the secure communication (SC) phase and the SCS phase, the A2G-ISAC system can focus on optimizing distinct objectives separately. In the SC phase, a block coordinate descent algorithm employing the trust-region successive convex approximation and semidefinite relaxation iteratively optimizes dual-UAV trajectory and beamforming. For the SCS phase, a weighted distance minimization problem determines the suitable dual-UAV sensing positions by a greedy algorithm, followed by the joint optimization of source beamforming and jamming beamforming. Simulation results demonstrate that the proposed scheme achieves the highest ASR among benchmarks while maintaining robust sensing performance, and confirm the impact of the SIC residual interference on both secure communication and sensing.




Abstract:In this paper, we propose a dual-unmanned aerial vehicle (UAV)-enabled secure communication and sensing (SCS) scheme for an air-to-ground integrated sensing and communication (ISAC) system, in which a dual-functional source UAV and jamming UAV collaborate to enhance both the secure communication and target sensing performance. From a perspective of hybrid monostatitc-bistatic radar, the jamming UAV maneuvers to aid the source UAV to detect multiple ground targets by emitting artificial noise, meanwhile interfering with the ground eavesdropper. Residual interference is considered to reflect the effects of imperfect successive interference cancellation (SIC) on the receive signal-plus-interference-to-noise ratios, which results in a degraded system performance. To maximize the average secrecy rate (ASR), the dual-UAV trajectory and dual-UAV beamforming are jointly optimized subject to the transmit power budget, UAV maneuvering constraint, and sensing requirements. To tackle the highly complicated non-convex ASR maximization problem, the dual-UAV trajectory and dual-UAV beamforming are optimized for the secure communication (SC) purpose and the SCS purpose, sequentially. In the SC phase, a block coordinate descent algorithm is proposed to optimize the dual-UAV trajectory and dual-UAV beamforming iteratively, using the trust-region successive convex approximation (SCA) and semidefinite relaxation (SDR) techniques. Then, a weighted distance minimization problem is formulated to determine the dual-UAV maneuvering positions suitable for the SCS purpose, which is solved by a heuristic greedy algorithm, followed by the joint optimization of source beamforming and jamming beamforming.
Abstract:In this paper, an active intelligent omni-surface (A-IOS) is deployed to aid uplink transmissions in a non-orthogonal multiple access (NOMA) system. In order to shelter the covert signal embedded in the superposition transmissions, a multi-antenna full-duplex (FD) receiver is utilized at the base-station to recover signal in addition to jamming the warden. With the aim of maximizing the covert rate, the FD transmit and receive beamforming, A-IOS refraction and reflection beamforming, NOMA transmit power, and FD jamming power are jointly optimized. To tackle the non-convex covert rate maximization problem subject to the highly coupled system parameters, an alternating optimization algorithm is designed to iteratively solve the decoupled sub-problems of optimizing the system parameters. The optimal solutions for the sub-problems of the NOMA transmit power and FD jamming power optimizations are derived in closed-form. To tackle the rank-one constrained non-convex fractional programming of the A-IOS beamforming and FD beamforming, a penalized Dinkelbach transformation approach is proposed to resort to the optimal solutions via semidefinite programming. Numerical results clarify that the deployment of the A-IOS significantly improves the covert rate compared with the passive-IOS aided uplink NOMA system. It is also found that the proposed scheme provides better covert communication performance with the optimized NOMA transmit power and FD jamming power compared with the benchmark schemes.




Abstract:Non-orthogonal multiple access (NOMA)-inspired integrated sensing and communication (ISAC) facilitates spectrum sharing for radar sensing and NOMA communications, whereas facing privacy and security challenges due to open wireless propagation. In this paper, active reconfigurable intelligent surface (RIS) is employed to aid covert communications in NOMA-inspired ISAC wireless system with the aim of maximizing the covert rate. Specifically, a dual-function base-station (BS) transmits the superposition signal to sense multiple targets, while achieving covert and reliable communications for a pair of NOMA covert and public users, respectively, in the presence of a warden. Two superposition transmission schemes, namely, the transmissions with dedicated sensing signal (w-DSS) and without dedicated sensing signal (w/o-DSS), are respectively considered in the formulations of the joint transmission and reflection beamforming optimization problems. Numerical results demonstrate that active-RIS-aided NOMA-ISAC system outperforms the passive-RIS-aided and without-RIS counterparts in terms of covert rate and trade-off between covert communication and sensing performance metrics. Finally, the w/o-DSS scheme, which omits the dedicated sensing signal, achieves a higher covert rate than the w-DSS scheme by allocating more transmit power for the covert transmissions, while preserving a comparable multi-target sensing performance.
Abstract:In this paper, we investigate covert communications in a simultaneously transmitting and reflecting reconfigurable intelligent surface (STAR-RIS)-aided rate-splitting multiple access (RSMA) system. Under the RSMA principles, the messages for the covert user (Bob) and public user (Grace) are converted to the common and private streams at the legitimate transmitter (Alice) to realize downlink transmissions, while the STAR-RIS is deployed not only to aid the public transmissions from Alice to Grace, but also to shield the covert transmissions from Alice to Bob against the warden (Willie). To characterize the covert performance of the considered STAR-RIS-aided RSMA (STAR-RIS-RSMA) system, we derive analytical expression for the minimum average detection error probability of Willie, based on which a covert rate maximization problem is formulated. To maximize Bob's covert rate while confusing Willie's monitoring, the transmit power allocation, common rate allocation, and STAR-RIS reflection/transmission beamforming are jointly optimized subject to Grace's quality of service (QoS) requirements. The non-convex covert rate maximization problem, consisting of highly coupled system parameters are decoupled into three sub-problems of transmit power allocation, common rate allocation, and STAR-RIS reflection/transmission beamforming, respectively. To obtain the rank-one constrained optimal solution for the sub-problem of optimizing the STAR-RIS reflection/transmission beamforming, a penalty-based successive convex approximation scheme is developed. Moreover, an alternative optimization (AO) algorithm is designed to determine the optimal solution for the sub-problem of optimizing the transmit power allocation, while the original problem is overall solved by a new AO algorithm.



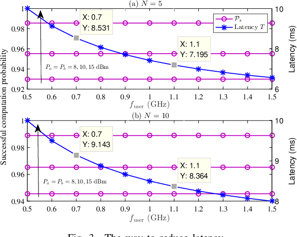
Abstract:In this paper, we investigate rate splitting multiple access (RSMA) aided mobile edge computing (MEC) in a cognitive radio network. We propose a RSMA scheme that enables the secondary user to offload tasks to the MEC server utilizing dynamic rate splitting without deteriorating the primary user's offloading. The expressions for the optimal rate splitting parameters that maximize the achievable rate for the secondary user and successful computation probability of the proposed RSMA scheme are derived in closed-form. We formulate a problem to maximize successful computation probability by jointly optimizing task offloading ratio and task offloading time and obtain the optimal solutions in closed-form. Simulation results clarify that the proposed RSMA scheme achieves a higher successful computation probability than the existing non-orthogonal multiple access scheme.