



Abstract:Atmospheric effects, such as turbulence and background thermal noise, inhibit the propagation of coherent light used in ON-OFF keying free-space optical communication. Here we present and experimentally validate a convolutional neural network to reduce the bit error rate of free-space optical communication in post-processing that is significantly simpler and cheaper than existing solutions based on advanced optics. Our approach consists of two neural networks, the first determining the presence of coherent bit sequences in thermal noise and turbulence and the second demodulating the coherent bit sequences. All data used for training and testing our network is obtained experimentally by generating ON-OFF keying bit streams of coherent light, combining these with thermal light, and passing the resultant light through a turbulent water tank which we have verified mimics turbulence in the air to a high degree of accuracy. Our convolutional neural network improves detection accuracy over threshold classification schemes and has the capability to be integrated with current demodulation and error correction schemes.




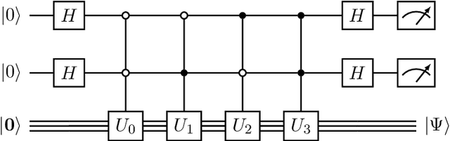
Abstract:Compressive sensing is a sensing protocol that facilitates reconstruction of large signals from relatively few measurements by exploiting known structures of signals of interest, typically manifested as signal sparsity. Compressive sensing's vast repertoire of applications in areas such as communications and image reconstruction stems from the traditional approach of utilizing non-linear optimization to exploit the sparsity assumption by selecting the lowest-weight (i.e. maximum sparsity) signal consistent with all acquired measurements. Recent efforts in the literature consider instead a data-driven approach, training tensor networks to learn the structure of signals of interest. The trained tensor network is updated to "project" its state onto one consistent with the measurements taken, and is then sampled site by site to "guess" the original signal. In this paper, we take advantage of this computing protocol by formulating an alternative "quantum" protocol, in which the state of the tensor network is a quantum state over a set of entangled qubits. Accordingly, we present the associated algorithms and quantum circuits required to implement the training, projection, and sampling steps on a quantum computer. We supplement our theoretical results by simulating the proposed circuits with a small, qualitative model of LIDAR imaging of earth forests. Our results indicate that a quantum, data-driven approach to compressive sensing, may have significant promise as quantum technology continues to make new leaps.