



Abstract:To improve storage and transmission, images are generally compressed. Vector quantization (VQ) is a popular compression method as it has a high compression ratio that suppresses other compression techniques. Despite this, existing adversarial attack methods on image classification are mostly performed in the pixel domain with few exceptions in the compressed domain, making them less applicable in real-world scenarios. In this paper, we propose a novel one-index attack method in the VQ domain to generate adversarial images by a differential evolution algorithm, successfully resulting in image misclassification in victim models. The one-index attack method modifies a single index in the compressed data stream so that the decompressed image is misclassified. It only needs to modify a single VQ index to realize an attack, which limits the number of perturbed indexes. The proposed method belongs to a semi-black-box attack, which is more in line with the actual attack scenario. We apply our method to attack three popular image classification models, i.e., Resnet, NIN, and VGG16. On average, 55.9% and 77.4% of the images in CIFAR-10 and Fashion MNIST, respectively, are successfully attacked, with a high level of misclassification confidence and a low level of image perturbation.




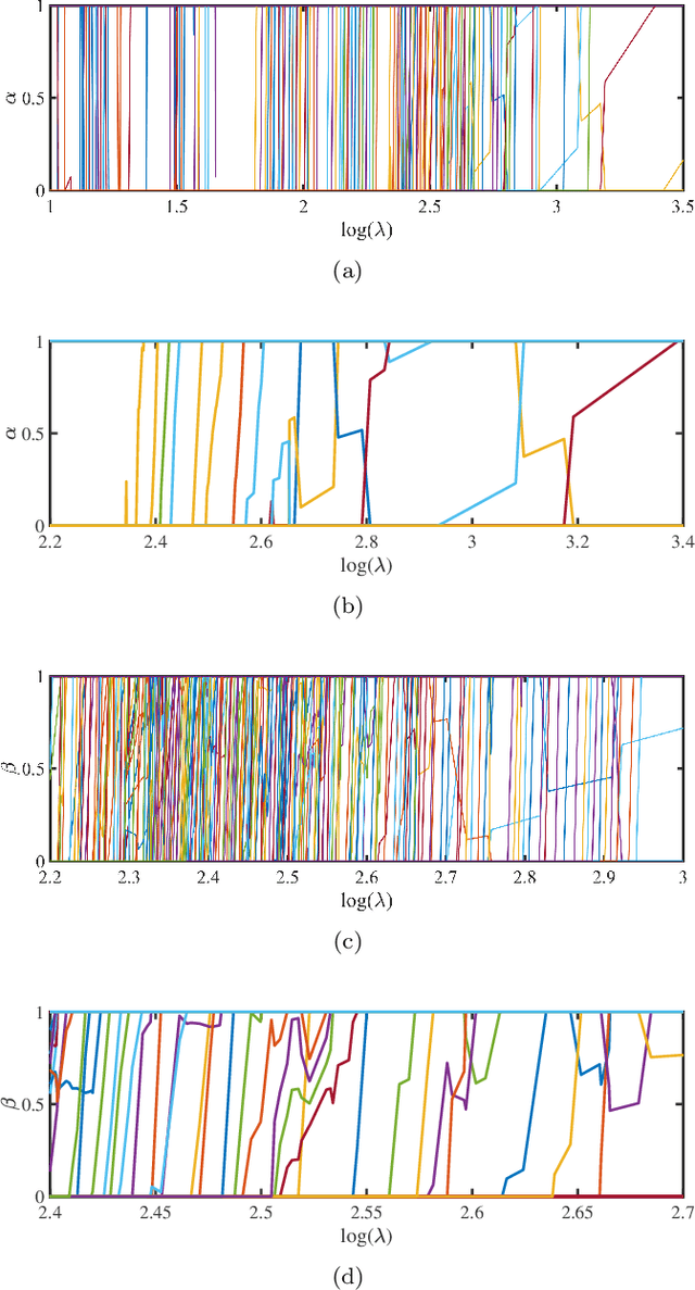
Abstract:The twin support vector machine and its extensions have made great achievements in dealing with binary classification problems, however, which is faced with some difficulties such as model selection and solving multi-classification problems quickly. This paper is devoted to the fast regularization parameter tuning algorithm for the twin multi-class support vector machine. A new sample dataset division method is adopted and the Lagrangian multipliers are proved to be piecewise linear with respect to the regularization parameters by combining the linear equations and block matrix theory. Eight kinds of events are defined to seek for the starting event and then the solution path algorithm is designed, which greatly reduces the computational cost. In addition, only few points are combined to complete the initialization and Lagrangian multipliers are proved to be 1 as the regularization parameter tends to infinity. Simulation results based on UCI datasets show that the proposed method can achieve good classification performance with reducing the computational cost of grid search method from exponential level to the constant level.