Abstract:The aim of this workshop is to bring together experts working on open-domain dialogue research. In this speedily advancing research area many challenges still exist, such as learning information from conversations, engaging in realistic and convincing simulation of human intelligence and reasoning. SCI-CHAT follows previous workshops on open domain dialogue but with a focus on the simulation of intelligent conversation as judged in a live human evaluation. Models aim to include the ability to follow a challenging topic over a multi-turn conversation, while positing, refuting and reasoning over arguments. The workshop included both a research track and shared task. The main goal of this paper is to provide an overview of the shared task and a link to an additional paper that will include an in depth analysis of the shared task results following presentation at the workshop.




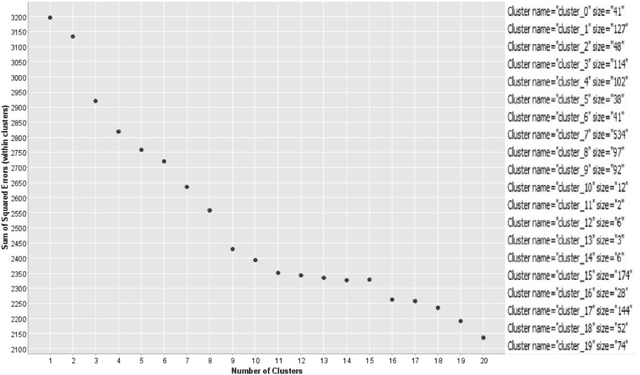
Abstract:A conversational system needs to know how to switch between topics to continue the conversation for a more extended period. For this topic detection from dialogue corpus has become an important task for a conversation and accurate prediction of conversation topics is important for creating coherent and engaging dialogue systems. In this paper, we proposed a topic detection approach with Parallel Latent Dirichlet Allocation (PLDA) Model by clustering a vocabulary of known similar words based on TF-IDF scores and Bag of Words (BOW) technique. In the experiment, we use K-mean clustering with Elbow Method for interpretation and validation of consistency within-cluster analysis to select the optimal number of clusters. We evaluate our approach by comparing it with traditional LDA and clustering technique. The experimental results show that combining PLDA with Elbow method selects the optimal number of clusters and refine the topics for the conversation.