



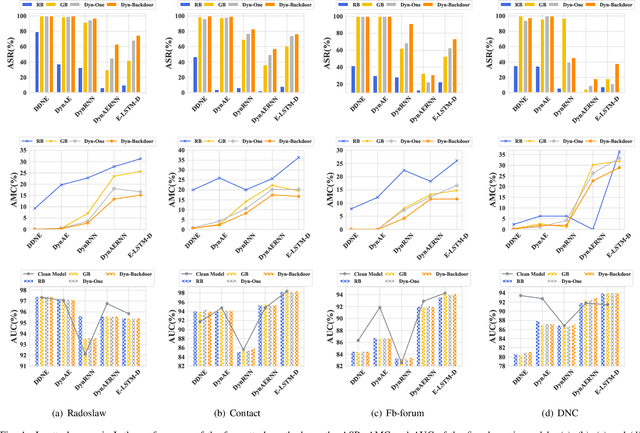
Abstract:Dynamic link prediction (DLP) makes graph prediction based on historical information. Since most DLP methods are highly dependent on the training data to achieve satisfying prediction performance, the quality of the training data is crucial. Backdoor attacks induce the DLP methods to make wrong prediction by the malicious training data, i.e., generating a subgraph sequence as the trigger and embedding it to the training data. However, the vulnerability of DLP toward backdoor attacks has not been studied yet. To address the issue, we propose a novel backdoor attack framework on DLP, denoted as Dyn-Backdoor. Specifically, Dyn-Backdoor generates diverse initial-triggers by a generative adversarial network (GAN). Then partial links of the initial-triggers are selected to form a trigger set, according to the gradient information of the attack discriminator in the GAN, so as to reduce the size of triggers and improve the concealment of the attack. Experimental results show that Dyn-Backdoor launches successful backdoor attacks on the state-of-the-art DLP models with success rate more than 90%. Additionally, we conduct a possible defense against Dyn-Backdoor to testify its resistance in defensive settings, highlighting the needs of defenses for backdoor attacks on DLP.