Abstract:We review recent advances in machine-learning (ML) force-field methods for large-scale Landau-Lifshitz-Gilbert (LLG) simulations of metallic spin systems. We generalize the Behler-Parrinello (BP) ML architecture -- originally developed for quantum molecular dynamics -- to construct scalable and transferable ML models capable of capturing the intricate dependence of electron-mediated exchange fields on the local magnetic environment characteristic of itinerant magnets. A central ingredient of this framework is the implementation of symmetry-aware magnetic descriptors based on group-theoretical bispectrum formalisms. Leveraging these ML force fields, LLG simulations faithfully reproduce hallmark non-collinear magnetic orders -- such as the $120^\circ$ and tetrahedral states -- on the triangular lattice, and successfully capture the complex spin textures emerging in the mixed-phase states of a square-lattice double-exchange model under thermal quench. We further discuss a generalized potential theory that extends the BP formalism to incorporate both conservative and nonconservative electronic torques, thereby enabling ML models to learn nonequilibrium exchange fields from computationally demanding microscopic approaches such as nonequilibrium Green's-function techniques. This extension yields quantitatively accurate predictions of voltage-driven domain-wall motion and establishes a foundation for quantum-accurate, multiscale modeling of nonequilibrium spin dynamics and spintronic functionalities.
Abstract:Scalable and symmetry-consistent force-field models are essential for extending quantum-accurate simulations to large spatiotemporal scales. While descriptor-based neural networks can incorporate lattice symmetries through carefully engineered features, we show that graph neural networks (GNNs) provide a conceptually simpler and more unified alternative in which discrete lattice translation and point-group symmetries are enforced directly through local message passing and weight sharing. We develop a GNN-based force-field framework for the adiabatic dynamics of lattice Hamiltonians and demonstrate it for the semiclassical Holstein model. Trained on exact-diagonalization data, the GNN achieves high force accuracy, strict linear scaling with system size, and direct transferability to large lattices. Enabled by this scalability, we perform large-scale Langevin simulations of charge-density-wave ordering following thermal quenches, revealing dynamical scaling and anomalously slow sub--Allen--Cahn coarsening. These results establish GNNs as an elegant and efficient architecture for symmetry-aware, large-scale dynamical simulations of correlated lattice systems.
Abstract:Learning reduced descriptions of chaotic many-body dynamics is fundamentally challenging: although microscopic equations are Markovian, collective observables exhibit strong memory and exponential sensitivity to initial conditions and prediction errors. We show that a self-attention-based transformer framework provides an effective approach for modeling such chaotic collective dynamics directly from time-series data. By selectively reweighting long-range temporal correlations, the transformer learns a non-Markovian reduced description that overcomes intrinsic limitations of conventional recurrent architectures. As a concrete demonstration, we study the one-dimensional semiclassical Holstein model, where interaction quenches induce strongly nonlinear and chaotic dynamics of the charge-density-wave order parameter. While pointwise predictions inevitably diverge at long times, the transformer faithfully reproduces the statistical "climate" of the chaos, including temporal correlations and characteristic decay scales. Our results establish self-attention as a powerful mechanism for learning effective reduced dynamics in chaotic many-body systems.
Abstract:Nonequilibrium electronic forces play a central role in voltage-driven phase transitions but are notoriously expensive to evaluate in dynamical simulations. Here we develop a machine learning framework for adiabatic lattice dynamics coupled to nonequilibrium electrons, and demonstrate it for a gating induced insulator to metal transition out of a charge density wave state in the Holstein model. Although exact electronic forces can be obtained from nonequilibrium Green's function (NEGF) calculations, their high computational cost renders long time dynamical simulations prohibitively expensive. By exploiting the locality of the electronic response, we train a neural network to directly predict instantaneous local electronic forces from the lattice configuration, thereby bypassing repeated NEGF calculations during time evolution. When combined with Brownian dynamics, the resulting machine learning force field quantitatively reproduces domain wall motion and nonequilibrium phase transition dynamics obtained from full NEGF simulations, while achieving orders of magnitude gains in computational efficiency. Our results establish direct force learning as an efficient and accurate approach for simulating nonequilibrium lattice dynamics in driven quantum materials.
Abstract:Machine-learning (ML) force fields enable large-scale simulations with near-first-principles accuracy at substantially reduced computational cost. Recent work has extended ML force-field approaches to adiabatic dynamical simulations of condensed-matter lattice models with coupled electronic and structural or magnetic degrees of freedom. However, most existing formulations rely on hand-crafted, symmetry-aware descriptors, whose construction is often system-specific and can hinder generality and transferability across different lattice Hamiltonians. Here we introduce a symmetry-preserving framework based on equivariant neural networks (ENNs) that provides a general, data-driven mapping from local configurations of dynamical variables to the associated on-site forces in a lattice Hamiltonian. In contrast to ENN architectures developed for molecular systems -- where continuous Euclidean symmetries dominate -- our approach aims to embed the discrete point-group and internal symmetries intrinsic to lattice models directly into the neural-network representation of the force field. As a proof of principle, we construct an ENN-based force-field model for the adiabatic dynamics of the Holstein Hamiltonian on a square lattice, a canonical system for electron-lattice physics. The resulting ML-enabled large-scale dynamical simulations faithfully capture mesoscale evolution of the symmetry-breaking phase, illustrating the utility of lattice-equivariant architectures for linking microscopic electronic processes to emergent dynamical behavior in condensed-matter lattice systems.




Abstract:We review the recent development of machine-learning (ML) force-field frameworks for Landau-Lifshitz-Gilbert (LLG) dynamics simulations of itinerant electron magnets, focusing on the general theory and implementations of symmetry-invariant representations of spin configurations. The crucial properties that such magnetic descriptors must satisfy are differentiability with respect to spin rotations and invariance to both lattice point-group symmetry and internal spin rotation symmetry. We propose an efficient implementation based on the concept of reference irreducible representations, modified from the group-theoretical power-spectrum and bispectrum methods. The ML framework is demonstrated using the s-d models, which are widely applied in spintronics research. We show that LLG simulations based on local fields predicted by the trained ML models successfully reproduce representative non-collinear spin structures, including 120$^\circ$, tetrahedral, and skyrmion crystal orders of the triangular-lattice s-d models. Large-scale thermal quench simulations enabled by ML models further reveal intriguing freezing dynamics and glassy stripe states consisting of skyrmions and bi-merons. Our work highlights the utility of ML force-field approach to dynamical modeling of complex spin orders in itinerant electron magnets.




Abstract:The phase ordering kinetics of emergent orders in correlated electron systems is a fundamental topic in non-equilibrium physics, yet it remains largely unexplored. The intricate interplay between quasiparticles and emergent order-parameter fields could lead to unusual coarsening dynamics that is beyond the standard theories. However, accurate treatment of both quasiparticles and collective degrees of freedom is a multi-scale challenge in dynamical simulations of correlated electrons. Here we leverage modern machine learning (ML) methods to achieve a linear-scaling algorithm for simulating the coarsening of charge density waves (CDWs), one of the fundamental symmetry breaking phases in functional electron materials. We demonstrate our approach on the square-lattice Hubbard-Holstein model and uncover an intriguing enhancement of CDW coarsening which is related to the screening of on-site potential by electron-electron interactions. Our study provides fresh insights into the role of electron correlations in non-equilibrium dynamics and underscores the promise of ML force-field approaches for advancing multi-scale dynamical modeling of correlated electron systems.




Abstract:An echo state network (ESN) is a type of reservoir computer that uses a recurrent neural network with a sparsely connected hidden layer. Compared with other recurrent neural networks, one great advantage of ESN is the simplicity of its training process. Yet, despite the seemingly restricted learnable parameters, ESN has been shown to successfully capture the spatial-temporal dynamics of complex patterns. Here we build an ESN to model the coarsening dynamics of charge-density waves (CDW) in a semi-classical Holstein model, which exhibits a checkerboard electron density modulation at half-filling stabilized by a commensurate lattice distortion. The inputs to the ESN are local CDW order-parameters in a finite neighborhood centered around a given site, while the output is the predicted CDW order of the center site at the next time step. Special care is taken in the design of couplings between hidden layer and input nodes to ensure lattice symmetries are properly incorporated into the ESN model. Since the model predictions depend only on CDW configurations of a finite domain, the ESN is scalable and transferrable in the sense that a model trained on dataset from a small system can be directly applied to dynamical simulations on larger lattices. Our work opens a new avenue for efficient dynamical modeling of pattern formations in functional electron materials.




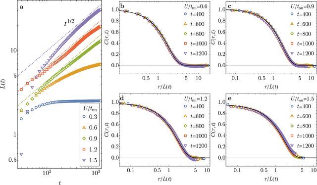
Abstract:We present a scalable machine learning (ML) framework for large-scale kinetic Monte Carlo (kMC) simulations of itinerant electron Ising systems. As the effective interactions between Ising spins in such itinerant magnets are mediated by conducting electrons, the calculation of energy change due to a local spin update requires solving an electronic structure problem. Such repeated electronic structure calculations could be overwhelmingly prohibitive for large systems. Assuming the locality principle, a convolutional neural network (CNN) model is developed to directly predict the effective local field and the corresponding energy change associated with a given spin update based on Ising configuration in a finite neighborhood. As the kernel size of the CNN is fixed at a constant, the model can be directly scalable to kMC simulations of large lattices. Our approach is reminiscent of the ML force-field models widely used in first-principles molecular dynamics simulations. Applying our ML framework to a square-lattice double-exchange Ising model, we uncover unusual coarsening of ferromagnetic domains at low temperatures. Our work highlights the potential of ML methods for large-scale modeling of similar itinerant systems with discrete dynamical variables.




Abstract:We present a machine learning (ML) method for efficient computation of vibrational thermal expectation values of physical properties from first principles. Our approach is based on the non-perturbative frozen phonon formulation in which stochastic Monte Carlo algorithm is employed to sample configurations of nuclei in a supercell at finite temperatures based on a first-principles phonon model. A deep-learning neural network is trained to accurately predict physical properties associated with sampled phonon configurations, thus bypassing the time-consuming {\em ab initio} calculations. To incorporate the point-group symmetry of the electronic system into the ML model, group-theoretical methods are used to develop a symmetry-invariant descriptor for phonon configurations in the supercell. We apply our ML approach to compute the temperature dependent electronic energy gap of silicon based on density functional theory (DFT). We show that, with less than a hundred DFT calculations for training the neural network model, an order of magnitude larger number of sampling can be achieved for the computation of the vibrational thermal expectation values. Our work highlights the promising potential of ML techniques for finite temperature first-principles electronic structure methods.