



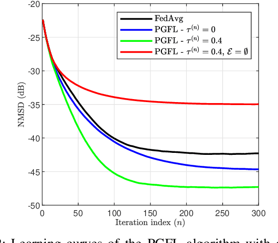
Abstract:This paper presents a personalized graph federated learning (PGFL) framework in which distributedly connected servers and their respective edge devices collaboratively learn device or cluster-specific models while maintaining the privacy of every individual device. The proposed approach exploits similarities among different models to provide a more relevant experience for each device, even in situations with diverse data distributions and disproportionate datasets. Furthermore, to ensure a secure and efficient approach to collaborative personalized learning, we study a variant of the PGFL implementation that utilizes differential privacy, specifically zero-concentrated differential privacy, where a noise sequence perturbs model exchanges. Our mathematical analysis shows that the proposed privacy-preserving PGFL algorithm converges to the optimal cluster-specific solution for each cluster in linear time. It also shows that exploiting similarities among clusters leads to an alternative output whose distance to the original solution is bounded, and that this bound can be adjusted by modifying the algorithm's hyperparameters. Further, our analysis shows that the algorithm ensures local differential privacy for all clients in terms of zero-concentrated differential privacy. Finally, the performance of the proposed PGFL algorithm is examined by performing numerical experiments in the context of regression and classification using synthetic data and the MNIST dataset.
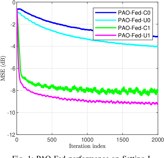
Abstract:Online federated learning (FL) enables geographically distributed devices to learn a global shared model from locally available streaming data. Most online FL literature considers a best-case scenario regarding the participating clients and the communication channels. However, these assumptions are often not met in real-world applications. Asynchronous settings can reflect a more realistic environment, such as heterogeneous client participation due to available computational power and battery constraints, as well as delays caused by communication channels or straggler devices. Further, in most applications, energy efficiency must be taken into consideration. Using the principles of partial-sharing-based communications, we propose a communication-efficient asynchronous online federated learning (PAO-Fed) strategy. By reducing the communication overhead of the participants, the proposed method renders participation in the learning task more accessible and efficient. In addition, the proposed aggregation mechanism accounts for random participation, handles delayed updates and mitigates their effect on accuracy. We prove the first and second-order convergence of the proposed PAO-Fed method and obtain an expression for its steady-state mean square deviation. Finally, we conduct comprehensive simulations to study the performance of the proposed method on both synthetic and real-life datasets. The simulations reveal that in asynchronous settings, the proposed PAO-Fed is able to achieve the same convergence properties as that of the online federated stochastic gradient while reducing the communication overhead by 98 percent.



Abstract:Many assumptions in the federated learning literature present a best-case scenario that can not be satisfied in most real-world applications. An asynchronous setting reflects the realistic environment in which federated learning methods must be able to operate reliably. Besides varying amounts of non-IID data at participants, the asynchronous setting models heterogeneous client participation due to available computational power and battery constraints and also accounts for delayed communications between clients and the server. To reduce the communication overhead associated with asynchronous online federated learning (ASO-Fed), we use the principles of partial-sharing-based communication. In this manner, we reduce the communication load of the participants and, therefore, render participation in the learning task more accessible. We prove the convergence of the proposed ASO-Fed and provide simulations to analyze its behavior further. The simulations reveal that, in the asynchronous setting, it is possible to achieve the same convergence as the federated stochastic gradient (Online-FedSGD) while reducing the communication tenfold.