



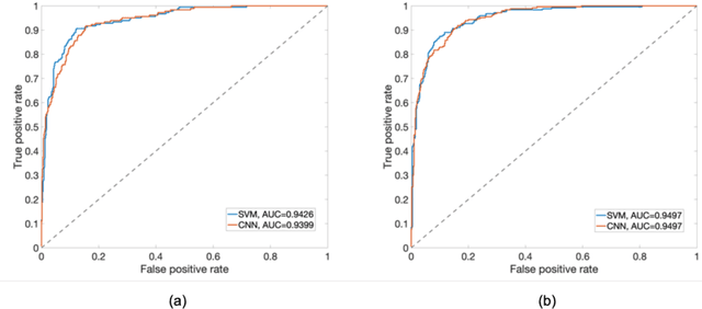
Abstract:PURPOSE: The medical literature relevant to germline genetics is growing exponentially. Clinicians need tools monitoring and prioritizing the literature to understand the clinical implications of the pathogenic genetic variants. We developed and evaluated two machine learning models to classify abstracts as relevant to the penetrance (risk of cancer for germline mutation carriers) or prevalence of germline genetic mutations. METHODS: We conducted literature searches in PubMed and retrieved paper titles and abstracts to create an annotated dataset for training and evaluating the two machine learning classification models. Our first model is a support vector machine (SVM) which learns a linear decision rule based on the bag-of-ngrams representation of each title and abstract. Our second model is a convolutional neural network (CNN) which learns a complex nonlinear decision rule based on the raw title and abstract. We evaluated the performance of the two models on the classification of papers as relevant to penetrance or prevalence. RESULTS: For penetrance classification, we annotated 3740 paper titles and abstracts and used 60% for training the model, 20% for tuning the model, and 20% for evaluating the model. The SVM model achieves 89.53% accuracy (percentage of papers that were correctly classified) while the CNN model achieves 88.95 % accuracy. For prevalence classification, we annotated 3753 paper titles and abstracts. The SVM model achieves 89.14% accuracy while the CNN model achieves 89.13 % accuracy. CONCLUSION: Our models achieve high accuracy in classifying abstracts as relevant to penetrance or prevalence. By facilitating literature review, this tool could help clinicians and researchers keep abreast of the burgeoning knowledge of gene-cancer associations and keep the knowledge bases for clinical decision support tools up to date.