Data61, CSIRO
Abstract:Behind a set of rules in Deontic Defeasible Logic, there is a mapping process of normative background fragments. This process goes from text to rules and implicitly encompasses an explanation of the coded fragments. In this paper we deliver a methodology for \textit{legal coding} that starts with a fragment and goes onto a set of Deontic Defeasible Logic rules, involving a set of \textit{scenarios} to test the correctness of the coded fragments. The methodology is illustrated by the coding process of an example text. We then show the results of a series of experiments conducted with humans encoding a variety of normative backgrounds and corresponding cases in which we have measured the efforts made in the coding process, as related to some measurable features. To process these examples, a recently developed technology, Houdini, that allows reasoning in Deontic Defeasible Logic, has been employed. Finally we provide a technique to forecast time required in coding, that depends on factors such as knowledge of the legal domain, knowledge of the coding processes, length of the text, and a measure of \textit{depth} that refers to the length of the paths of legal references.
Abstract:The use of meta-rules in logic, i.e., rules whose content includes other rules, has recently gained attention in the setting of non-monotonic reasoning: a first logical formalisation and efficient algorithms to compute the (meta)-extensions of such theories were proposed in Olivieri et al (2021) This work extends such a logical framework by considering the deontic aspect. The resulting logic will not just be able to model policies but also tackle well-known aspects that occur in numerous legal systems. The use of Defeasible Logic (DL) to model meta-rules in the application area we just alluded to has been investigated. Within this line of research, the study mentioned above was not focusing on the general computational properties of meta-rules. This study fills this gap with two major contributions. First, we introduce and formalise two variants of Defeasible Deontic Logic with Meta-Rules to represent (1) defeasible meta-theories with deontic modalities, and (2) two different types of conflicts among rules: Simple Conflict Defeasible Deontic Logic, and Cautious Conflict Defeasible Deontic Logic. Second, we advance efficient algorithms to compute the extensions for both variants.

Abstract:Linear Logic and Defeasible Logic have been adopted to formalise different features of knowledge representation: consumption of resources, and non monotonic reasoning in particular to represent exceptions. Recently, a framework to combine sub-structural features, corresponding to the consumption of resources, with defeasibility aspects to handle potentially conflicting information, has been discussed in literature, by some of the authors. Two applications emerged that are very relevant: energy management and business process management. We illustrate a set of guide lines to determine how to apply linear defeasible logic to those contexts.
Abstract:Linear Logic and Defeasible Logic have been adopted to formalise different features relevant to agents: consumption of resources, and reasoning with exceptions. We propose a framework to combine sub-structural features, corresponding to the consumption of resources, with defeasibility aspects, and we discuss the design choices for the framework.
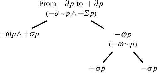
Abstract:The paper proposes a fresh look at the concept of goal and advances that motivational attitudes like desire, goal and intention are just facets of the broader notion of (acceptable) outcome. We propose to encode the preferences of an agent as sequences of "alternative acceptable outcomes". We then study how the agent's beliefs and norms can be used to filter the mental attitudes out of the sequences of alternative acceptable outcomes. Finally, we formalise such intuitions in a novel Modal Defeasible Logic and we prove that the resulting formalisation is computationally feasible.
Abstract:In this paper we study the complexity of strategic argumentation for dialogue games. A dialogue game is a 2-player game where the parties play arguments. We show how to model dialogue games in a skeptical, non-monotonic formalism, and we show that the problem of deciding what move (set of rules) to play at each turn is an NP-complete problem.
Abstract:In this paper we propose an extension of Defeasible Logic to represent and compute three concepts of defeasible permission. In particular, we discuss different types of explicit permissive norms that work as exceptions to opposite obligations. Moreover, we show how strong permissions can be represented both with, and without introducing a new consequence relation for inferring conclusions from explicit permissive norms. Finally, we illustrate how a preference operator applicable to contrary-to-duty obligations can be combined with a new operator representing ordered sequences of strong permissions which derogate from prohibitions. The logical system is studied from a computational standpoint and is shown to have liner computational complexity.




Abstract:There are several contexts of non-monotonic reasoning where a priority between rules is established whose purpose is preventing conflicts. One formalism that has been widely employed for non-monotonic reasoning is the sceptical one known as Defeasible Logic. In Defeasible Logic the tool used for conflict resolution is a preference relation between rules, that establishes the priority among them. In this paper we investigate how to modify such a preference relation in a defeasible logic theory in order to change the conclusions of the theory itself. We argue that the approach we adopt is applicable to legal reasoning where users, in general, cannot change facts or rules, but can propose their preferences about the relative strength of the rules. We provide a comprehensive study of the possible combinatorial cases and we identify and analyse the cases where the revision process is successful. After this analysis, we identify three revision/update operators and study them against the AGM postulates for belief revision operators, to discover that only a part of these postulates are satisfied by the three operators.