University of Catania




Abstract:This report summarizes the outcomes of the ICPR 2024 Competition on Multiple Sclerosis Lesion Segmentation (MSLesSeg). The competition aimed to develop methods capable of automatically segmenting multiple sclerosis lesions in MRI scans. Participants were provided with a novel annotated dataset comprising a heterogeneous cohort of MS patients, featuring both baseline and follow-up MRI scans acquired at different hospitals. MSLesSeg focuses on developing algorithms that can independently segment multiple sclerosis lesions of an unexamined cohort of patients. This segmentation approach aims to overcome current benchmarks by eliminating user interaction and ensuring robust lesion detection at different timepoints, encouraging innovation and promoting methodological advances.




Abstract:Generating realistic images to accurately predict changes in the structure of brain MRI is a crucial tool for clinicians. Such applications help assess patients' outcomes and analyze how diseases progress at the individual level. However, existing methods for this task present some limitations. Some approaches attempt to model the distribution of MRI scans directly by conditioning the model on patients' ages, but they fail to explicitly capture the relationship between structural changes in the brain and time intervals, especially on age-unbalanced datasets. Other approaches simply rely on interpolation between scans, which limits their clinical application as they do not predict future MRIs. To address these challenges, we propose a Temporally-Aware Diffusion Model (TADM), which introduces a novel approach to accurately infer progression in brain MRIs. TADM learns the distribution of structural changes in terms of intensity differences between scans and combines the prediction of these changes with the initial baseline scans to generate future MRIs. Furthermore, during training, we propose to leverage a pre-trained Brain-Age Estimator (BAE) to refine the model's training process, enhancing its ability to produce accurate MRIs that match the expected age gap between baseline and generated scans. Our assessment, conducted on the OASIS-3 dataset, uses similarity metrics and region sizes computed by comparing predicted and real follow-up scans on 3 relevant brain regions. TADM achieves large improvements over existing approaches, with an average decrease of 24% in region size error and an improvement of 4% in similarity metrics. These evaluations demonstrate the improvement of our model in mimicking temporal brain neurodegenerative progression compared to existing methods. Our approach will benefit applications, such as predicting patient outcomes or improving treatments for patients.




Abstract:Brain age is a critical measure that reflects the biological ageing process of the brain. The gap between brain age and chronological age, referred to as brain PAD (Predicted Age Difference), has been utilized to investigate neurodegenerative conditions. Brain age can be predicted using MRIs and machine learning techniques. However, existing methods are often sensitive to acquisition-related variabilities, such as differences in acquisition protocols, scanners, MRI sequences, and resolutions, significantly limiting their application in highly heterogeneous clinical settings. In this study, we introduce Synthetic Brain Age (SynthBA), a robust deep-learning model designed for predicting brain age. SynthBA utilizes an advanced domain randomization technique, ensuring effective operation across a wide array of acquisition-related variabilities. To assess the effectiveness and robustness of SynthBA, we evaluate its predictive capabilities on internal and external datasets, encompassing various MRI sequences and resolutions, and compare it with state-of-the-art techniques. Additionally, we calculate the brain PAD in a large cohort of subjects with Alzheimer's Disease (AD), demonstrating a significant correlation with AD-related measures of cognitive dysfunction. SynthBA holds the potential to facilitate the broader adoption of brain age prediction in clinical settings, where re-training or fine-tuning is often unfeasible. The SynthBA source code and pre-trained models are publicly available at https://github.com/LemuelPuglisi/SynthBA.




Abstract:{The study of frequency components derived from Discrete Cosine Transform (DCT) has been widely used in image analysis. In recent years it has been observed that significant information can be extrapolated from them about the lifecycle of the image, but no study has focused on the analysis between them and the source resolution of the image. In this work, we investigated a novel image resolution classifier that employs DCT statistics with the goal to detect the original resolution of images; in particular the insight was exploited to address the challenge of identifying cropped images. Training a Machine Learning (ML) classifier on entire images (not cropped), the generated model can leverage this information to detect cropping. The results demonstrate the classifier's reliability in distinguishing between cropped and not cropped images, providing a dependable estimation of their original resolution. This advancement has significant implications for image processing applications, including digital security, authenticity verification, and visual quality analysis, by offering a new tool for detecting image manipulations and enhancing qualitative image assessment. This work opens new perspectives in the field, with potential to transform image analysis and usage across multiple domains.}




Abstract:Magnetic resonance imaging is a fundamental tool to reach a diagnosis of multiple sclerosis and monitoring its progression. Although several attempts have been made to segment multiple sclerosis lesions using artificial intelligence, fully automated analysis is not yet available. State-of-the-art methods rely on slight variations in segmentation architectures (e.g. U-Net, etc.). However, recent research has demonstrated how exploiting temporal-aware features and attention mechanisms can provide a significant boost to traditional architectures. This paper proposes a framework that exploits an augmented U-Net architecture with a convolutional long short-term memory layer and attention mechanism which is able to segment and quantify multiple sclerosis lesions detected in magnetic resonance images. Quantitative and qualitative evaluation on challenging examples demonstrated how the method outperforms previous state-of-the-art approaches, reporting an overall Dice score of 89% and also demonstrating robustness and generalization ability on never seen new test samples of a new dedicated under construction dataset.
Abstract:Early detection of an infection prior to prosthesis removal (e.g., hips, knees or other areas) would provide significant benefits to patients. Currently, the detection task is carried out only retrospectively with a limited number of methods relying on biometric or other medical data. The automatic detection of a periprosthetic joint infection from tomography imaging is a task never addressed before. This study introduces a novel method for early detection of the hip prosthesis infections analyzing Computed Tomography images. The proposed solution is based on a novel ResNeSt Convolutional Neural Network architecture trained on samples from more than 100 patients. The solution showed exceptional performance in detecting infections with an experimental high level of accuracy and F-score.
Abstract:This paper presents our solution for the first challenge of the 3rd Covid-19 competition, which is part of the "AI-enabled Medical Image Analysis Workshop" organized by IEEE International Conference on Acoustic, Speech and Signal Processing (ICASSP) 2023. Our proposed solution is based on a Resnet as a backbone network with the addition of attention mechanisms. The Resnet provides an effective feature extractor for the classification task, while the attention mechanisms improve the model's ability to focus on important regions of interest within the images. We conducted extensive experiments on the provided dataset and achieved promising results. Our proposed approach has the potential to assist in the accurate diagnosis of Covid-19 from chest computed tomography images, which can aid in the early detection and management of the disease.




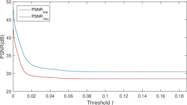
Abstract:The exploitation of traces in JPEG double compressed images is of utter importance for investigations. Properly exploiting such insights, First Quantization Estimation (FQE) could be performed in order to obtain source camera model identification (CMI) and therefore reconstruct the history of a digital image. In this paper, a method able to estimate the first quantization factors for JPEG double compressed images is presented, employing a mixed statistical and Machine Learning approach. The presented solution is demonstrated to work without any a-priori assumptions about the quantization matrices. Experimental results and comparisons with the state-of-the-art show the goodness of the proposed technique.




Abstract:After thirty years of the GIF file format, today is becoming more popular than ever: being a great way of communication for friends and communities on Instant Messengers and Social Networks. While being so popular, the original compression method to encode GIF images have not changed a bit. On the other hand popularity means that storage saving becomes an issue for hosting platforms. In this paper a parametric optimization technique for animated GIFs will be presented. The proposed technique is based on Local Color Table selection and color remapping in order to create optimized animated GIFs while preserving the original format. The technique achieves good results in terms of byte reduction with limited or no loss of perceived color quality. Tests carried out on 1000 GIF files demonstrate the effectiveness of the proposed optimization strategy.