



Abstract:As an intriguing case is the goodness of the machine and deep learning models generated by these LLMs in conducting automated scientific data analysis, where a data analyst may not have enough expertise in manually coding and optimizing complex deep learning models and codes and thus may opt to leverage LLMs to generate the required models. This paper investigates and compares the performance of the mainstream LLMs, such as ChatGPT, PaLM, LLama, and Falcon, in generating deep learning models for analyzing time series data, an important and popular data type with its prevalent applications in many application domains including financial and stock market. This research conducts a set of controlled experiments where the prompts for generating deep learning-based models are controlled with respect to sensitivity levels of four criteria including 1) Clarify and Specificity, 2) Objective and Intent, 3) Contextual Information, and 4) Format and Style. While the results are relatively mix, we observe some distinct patterns. We notice that using LLMs, we are able to generate deep learning-based models with executable codes for each dataset seperatly whose performance are comparable with the manually crafted and optimized LSTM models for predicting the whole time series dataset. We also noticed that ChatGPT outperforms the other LLMs in generating more accurate models. Furthermore, we observed that the goodness of the generated models vary with respect to the ``temperature'' parameter used in configuring LLMS. The results can be beneficial for data analysts and practitioners who would like to leverage generative AIs to produce good prediction models with acceptable goodness.




Abstract:Cyber attacks continue to pose significant threats to individuals and organizations, stealing sensitive data such as personally identifiable information, financial information, and login credentials. Hence, detecting malicious websites before they cause any harm is critical to preventing fraud and monetary loss. To address the increasing number of phishing attacks, protective mechanisms must be highly responsive, adaptive, and scalable. Fortunately, advances in the field of machine learning, coupled with access to vast amounts of data, have led to the adoption of various deep learning models for timely detection of these cyber crimes. This study focuses on the detection of phishing websites using deep learning models such as Multi-Head Attention, Temporal Convolutional Network (TCN), BI-LSTM, and LSTM where URLs of the phishing websites are treated as a sequence. The results demonstrate that Multi-Head Attention and BI-LSTM model outperform some other deep learning-based algorithms such as TCN and LSTM in producing better precision, recall, and F1-scores.




Abstract:There exist several data-driven approaches that enable us model time series data including traditional regression-based modeling approaches (i.e., ARIMA). Recently, deep learning techniques have been introduced and explored in the context of time series analysis and prediction. A major research question to ask is the performance of these many variations of deep learning techniques in predicting time series data. This paper compares two prominent deep learning modeling techniques. The Recurrent Neural Network (RNN)-based Long Short-Term Memory (LSTM) and the convolutional Neural Network (CNN)-based Temporal Convolutional Networks (TCN) are compared and their performance and training time are reported. According to our experimental results, both modeling techniques perform comparably having TCN-based models outperform LSTM slightly. Moreover, the CNN-based TCN model builds a stable model faster than the RNN-based LSTM models.




Abstract:To understand how end-users conceptualize consequences of cyber security attacks, we performed a card sorting study, a well-known technique in Cognitive Sciences, where participants were free to group the given consequences of chosen cyber attacks into as many categories as they wished using rationales they see fit. The results of the open card sorting study showed a large amount of inter-participant variation making the research team wonder how the consequences of security attacks were comprehended by the participants. As an exploration of whether it is possible to explain user's mental model and behavior through Artificial Intelligence (AI) techniques, the research team compared the card sorting data with the outputs of a number of Natural Language Processing (NLP) techniques with the goal of understanding how participants perceived and interpreted the consequences of cyber attacks written in natural languages. The results of the NLP-based exploration methods revealed an interesting observation implying that participants had mostly employed checking individual keywords in each sentence to group cyber attack consequences together and less considered the semantics behind the description of consequences of cyber attacks. The results reported in this paper are seemingly useful and important for cyber attacks comprehension from user's perspectives. To the best of our knowledge, this paper is the first introducing the use of AI techniques in explaining and modeling users' behavior and their perceptions about a context. The novel idea introduced here is about explaining users using AI.




Abstract:The problem of detecting phishing emails through machine learning techniques has been discussed extensively in the literature. Conventional and state-of-the-art machine learning algorithms have demonstrated the possibility of building classifiers with high accuracy. The existing research studies treat phishing and genuine emails through general indicators and thus it is not exactly clear what phishing features are contributing to variations of the classifiers. In this paper, we crafted a set of phishing and legitimate emails with similar indicators in order to investigate whether these cues are captured or disregarded by email embeddings, i.e., vectorizations. We then fed machine learning classifiers with the carefully crafted emails to find out about the performance of email embeddings developed. Our results show that using these indicators, email embeddings techniques is effective for classifying emails as phishing or legitimate.




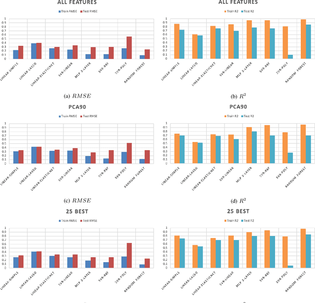
Abstract:Sonification is the science of communication of data and events to users through sounds. Auditory icons, earcons, and speech are the common auditory display schemes utilized in sonification, or more specifically in the use of audio to convey information. Once the captured data are perceived, their meanings, and more importantly, intentions can be interpreted more easily and thus can be employed as a complement to visualization techniques. Through auditory perception it is possible to convey information related to temporal, spatial, or some other context-oriented information. An important research question is whether the emotions perceived from these auditory icons or earcons are predictable in order to build an automated sonification platform. This paper conducts an experiment through which several mainstream and conventional machine learning algorithms are developed to study the prediction of emotions perceived from sounds. To do so, the key features of sounds are captured and then are modeled using machine learning algorithms using feature reduction techniques. We observe that it is possible to predict perceived emotions with high accuracy. In particular, the regression based on Random Forest demonstrated its superiority compared to other machine learning algorithms.




Abstract:Online reviews play an integral part for success or failure of businesses. Prior to purchasing services or goods, customers first review the online comments submitted by previous customers. However, it is possible to superficially boost or hinder some businesses through posting counterfeit and fake reviews. This paper explores a natural language processing approach to identify fake reviews. We present a detailed analysis of linguistic features for distinguishing fake and trustworthy online reviews. We study 15 linguistic features and measure their significance and importance towards the classification schemes employed in this study. Our results indicate that fake reviews tend to include more redundant terms and pauses, and generally contain longer sentences. The application of several machine learning classification algorithms revealed that we were able to discriminate fake from real reviews with high accuracy using these linguistic features.




Abstract:Customers represent their satisfactions of consuming products by sharing their experiences through the utilization of online reviews. Several machine learning-based approaches can automatically detect deceptive and fake reviews. Recently, there have been studies reporting the performance of ensemble learning-based approaches in comparison to conventional machine learning techniques. Motivated by the recent trends in ensemble learning, this paper evaluates the performance of ensemble learning-based approaches to identify bogus online information. The application of a number of ensemble learning-based approaches to a collection of fake restaurant reviews that we developed show that these ensemble learning-based approaches detect deceptive information better than conventional machine learning algorithms.




Abstract:The detection of zero-day attacks and vulnerabilities is a challenging problem. It is of utmost importance for network administrators to identify them with high accuracy. The higher the accuracy is, the more robust the defense mechanism will be. In an ideal scenario (i.e., 100% accuracy) the system can detect zero-day malware without being concerned about mistakenly tagging benign files as malware or enabling disruptive malicious code running as none-malicious ones. This paper investigates different machine learning algorithms to find out how well they can detect zero-day malware. Through the examination of 34 machine/deep learning classifiers, we found that the random forest classifier offered the best accuracy. The paper poses several research questions regarding the performance of machine and deep learning algorithms when detecting zero-day malware with zero rates for false positive and false negative.