



Abstract:Diabetic sensorimotor polyneuropathy (DSPN) is one of the prevalent forms of neuropathy affected by diabetic patients that involves alterations in biomechanical changes in human gait. In literature, for the last 50 years, researchers are trying to observe the biomechanical changes due to DSPN by studying muscle electromyography (EMG), and ground reaction forces (GRF). However, the literature is contradictory. In such a scenario, we are proposing to use Machine learning techniques to identify DSPN patients by using EMG, and GRF data. We have collected a dataset consists of three lower limb muscles EMG (tibialis anterior (TA), vastus lateralis (VL), gastrocnemius medialis (GM) and 3-dimensional GRF components (GRFx, GRFy, and GRFz). Raw EMG and GRF signals were preprocessed, and a newly proposed feature extraction technique scheme from literature was applied to extract the best features from the signals. The extracted feature list was ranked using Relief feature ranking techniques, and highly correlated features were removed. We have trained different ML models to find out the best-performing model and optimized that model. We trained the optimized ML models for different combinations of muscles and GRF components features, and the performance matrix was evaluated. This study has found ensemble classifier model was performing in identifying DSPN Severity, and we optimized it before training. For EMG analysis, we have found the best accuracy of 92.89% using the Top 14 features for features from GL, VL and TA muscles combined. In the GRF analysis, the model showed 94.78% accuracy by using the Top 15 features for the feature combinations extracted from GRFx, GRFy and GRFz signals. The performance of ML-based DSPN severity classification models, improved significantly, indicating their reliability in DSPN severity classification, for biomechanical data.




Abstract:Background: Diabetic Sensorimotor polyneuropathy (DSPN) is a major long-term complication in diabetic patients associated with painful neuropathy, foot ulceration and amputation. The Michigan neuropathy screening instrument (MNSI) is one of the most common screening techniques for DSPN, however, it does not provide any direct severity grading system. Method: For designing and modelling the DSPN severity grading systems for MNSI, 19 years of data from Epidemiology of Diabetes Interventions and Complications (EDIC) clinical trials were used. MNSI variables and patient outcomes were investigated using machine learning tools to identify the features having higher association in DSPN identification. A multivariable logistic regression-based nomogram was generated and validated for DSPN severity grading. Results: The top-7 ranked features from MNSI: 10-gm filament, Vibration perception (R), Vibration perception (L), previous diabetic neuropathy, the appearance of deformities, appearance of callus and appearance of fissure were identified as key features for identifying DSPN using the extra tree model. The area under the curve (AUC) of the nomogram for the internal and external datasets were 0.9421 and 0.946, respectively. From the developed nomogram, the probability of having DSPN was predicted and a DSPN severity scoring system for MNSI was developed from the probability score. The model performance was validated on an independent dataset. Patients were stratified into four severity levels: absent, mild, moderate, and severe using a cut-off value of 10.5, 12.7 and 15 for a DSPN probability less than 50%, 75% to 90%, and above 90%, respectively. Conclusions: This study provides a simple, easy-to-use and reliable algorithm for defining the prognosis and management of patients with DSPN.




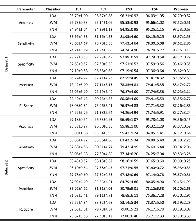
Abstract:The multichannel electrode array used for electromyogram (EMG) pattern recognition provides good performance, but it has a high cost, is computationally expensive, and is inconvenient to wear. Therefore, researchers try to use as few channels as possible while maintaining improved pattern recognition performance. However, minimizing the number of channels affects the performance due to the least separable margin among the movements possessing weak signal strengths. To meet these challenges, two time-domain features based on nonlinear scaling, the log of the mean absolute value (LMAV) and the nonlinear scaled value (NSV), are proposed. In this study, we validate the proposed features on two datasets, existing four feature extraction methods, variable window size and various signal to noise ratios (SNR). In addition, we also propose a feature extraction method where the LMAV and NSV are grouped with the existing 11 time-domain features. The proposed feature extraction method enhances accuracy, sensitivity, specificity, precision, and F1 score by 1.00%, 5.01%, 0.55%, 4.71%, and 5.06% for dataset 1, and 1.18%, 5.90%, 0.66%, 5.63%, and 6.04% for dataset 2, respectively. Therefore, the experimental results strongly suggest the proposed feature extraction method, for taking a step forward with regard to improved myoelectric pattern recognition performance.