Abstract:We study spectrum sharing between two dense low-earth orbit (LEO) satellite constellations, an incumbent primary system and a secondary system that must respect interference protection constraints on the primary system. In particular, we propose a secondary satellite selection framework and algorithm that maximizes capacity while guaranteeing that the time-average interference and absolute interference inflicted upon each primary ground user never exceeds specified thresholds. We solve this NP-hard constrained, combinatorial satellite selection problem through Lagrangian relaxation to decompose it into simpler problems which can then be solved through subgradient methods. A high-fidelity simulation is developed based on public FCC filings and technical specifications of the Starlink and Kuiper systems. We use this case study to illustrate the effectiveness of our approach and that explicit protection is indeed necessary for healthy coexistence. We further demonstrate that deep learning models can be used to predict the primary satellite system associations, which helps the secondary system avoid inflicting excessive interference and maximize its own capacity.




Abstract:This work provides a rigorous methodology for assessing the feasibility of spectrum sharing between large low-earth orbit (LEO) satellite constellations. For concreteness, we focus on the existing Starlink system and the soon-to-be-launched Kuiper system, which is prohibited from inflicting excessive interference onto the incumbent Starlink ground users. We carefully model and study the potential downlink interference between the two systems and investigate how strategic satellite selection may be used by Kuiper to serve its ground users while also protecting Starlink ground users. We then extend this notion of satellite selection to the case where Kuiper has limited knowledge of Starlink's serving satellite. Our findings reveal that there is always the potential for very high and extremely low interference, depending on which Starlink and Kuiper satellites are being used to serve their users. Consequently, we show that Kuiper can protect Starlink ground users with high probability, by strategically selecting which of its satellites are used to serve its ground users. Simultaneously, Kuiper is capable of delivering near-maximal downlink SINR to its own ground users. This highlights a feasible route to the coexistence of two dense LEO satellite systems, even in scenarios where one system has limited knowledge of the other's serving satellites.




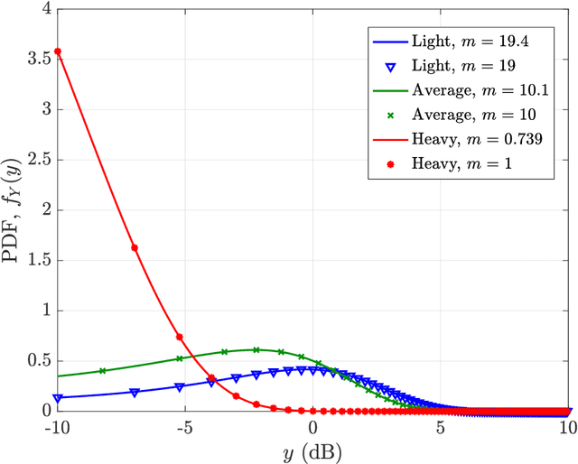
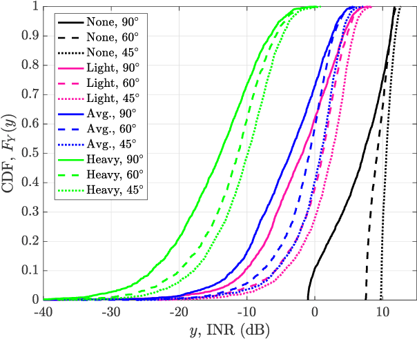
Abstract:The extension of wide area wireless connectivity to low-earth orbit (LEO) satellite communication systems demands a fresh look at the effects of in-orbit base stations, sky-to-ground propagation, and cell planning. A multi-beam LEO satellite delivers widespread coverage by forming multiple spot beams that tessellate cells over a given region on the surface of the Earth. In doing so, overlapping spot beams introduce interference when delivering downlink concurrently in the same area using the same frequency spectrum. To permit forecasting of communication system performance, we characterize desired and interference signal powers, along with SNR, INR, SIR, and SINR, under the measurement-backed Shadowed Rician (SR) sky-to-ground channel model. We introduce a minor approximation to the fading order of SR channels that greatly simplifies the PDF and CDF of these quantities and facilitates statistical analyses of LEO satellite systems such as probability of outage. We conclude this paper with an evaluation of multi-beam LEO satellite communication in SR channels of varying intensity fitted from existing measurements. Our numerical results highlight the effects satellite elevation angle has on SNR, INR, and SINR, which brings attention to the variability in system state and potential performance as a satellite traverses across the sky along its orbit.




Abstract:The coming extension of cellular technology to base-stations in low-earth orbit (LEO) requires a fresh look at terrestrial 3GPP channel models. Relative to such models, sky-to-ground cellular channels will exhibit less diffraction, deeper shadowing, larger Doppler shifts, and possibly far stronger cross-cell interference: consequences of high elevation angles and extreme "sectorization" of LEO satellite transmissions into partially-overlapping spot beams. To permit forecasting of expected signal-to-noise ratio (SNR), interference-to-noise ratio (INR) and probability of outage, we characterize the powers of desired and interference signals as received by ground users from such a LEO satellite. In particular, building on the Shadowed Rician channel model, we observe that co-cell and cross-cell sky-to-ground signals travel along similar paths, whereas terrestrial co- and cross-cell signals travel along very different paths. We characterize SNR, signal-to-interference ratio (SIR), and INR using transmit beam profiles and linear relationships that we establish between certain Shadowed Rician random variables. These tools allow us to simplify certain density functions and moments, facilitating future analysis. Numerical results yield insight into the key question of whether emerging LEO systems should be viewed as interference- or noise-limited.